Operation CHARM: Car repair manuals for everyone.
Manuals through 2025 now available!

Our trusted friends have launched a new website named LEMON, which has newer manuals. It also contains all the CHARM manuals.

LEMON is the spiritual successor to CHARM, I recommend you try it!

Link: lemon-manuals.la or lemon-manuals.org.ua

(Some people have issue connecting. LEMON is investigating. For now, use Firefox or change your DNS server)

Or, hide this message: temporarily or permanently

Heating and Air Conditioning: Testing and Inspection

R-134a systems require use of special service equipment designed specifically for R-134a systems. R-12 servicing equipment cannot be used on R-134a systems.

1. Connect gauge manifold following manufacturer's instructions. Insert a thermometer in vent outlet, then determine relative humidity and ambient air temperature by using a portable weather station or calling your local weather station.
2. Ensure vehicle is not in direct sunlight, close hood and front doors. Place temperature control at COLD, slide function control lever to VENT position and recirculation control lever to INSIDE-AIR position, then switch fan to highest position.
3. Start engine and operate at 1500 RPM for 10.0 minutes with no driver or passengers in vehicle, then check delivery temperature from thermometer in dash vent and high and low system pressure from A/C gauges.

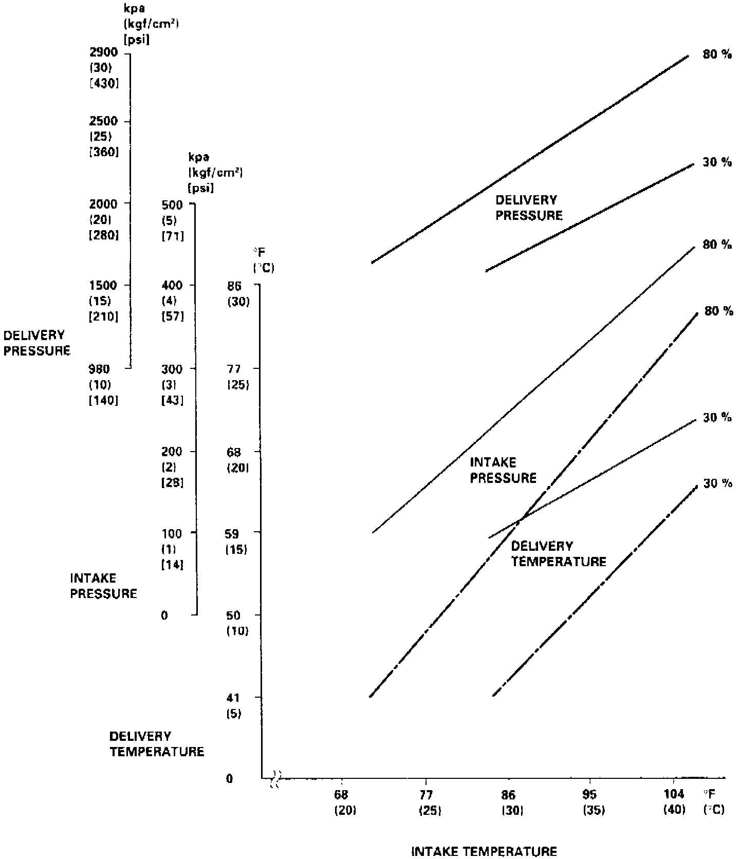
Fig. 3 A/C System Performance Specifications:





4. Using charts shown in Fig. 3, mark delivery temperature along vertical line, then intake temperature (ambient air temperature) along bottom line.
5. Draw a line straight up from air temperature to humidity, then mark a point one line above and one line below humidity level (10% above and 10% below humidity level).
6. From each point, draw a horizontal line across to delivery temperature; delivery temperature should fall between two lines.
7. Complete low and high side pressure tests in same way, any measurement outside lines may indicate need for further inspection.