Operation CHARM: Car repair manuals for everyone.
Manuals through 2025 now available!

Our trusted friends have launched a new website named LEMON, which has newer manuals. It also contains all the CHARM manuals.

LEMON is the spiritual successor to CHARM, I recommend you try it!

Link: lemon-manuals.la or lemon-manuals.org.ua

(Some people have issue connecting. LEMON is investigating. For now, use Firefox or change your DNS server)

Or, hide this message: temporarily or permanently

Manifold Pressure/Vacuum Sensor: Testing and Inspection








(_P0101_)
The scan tool indicates Diagnostic Trouble Code (DTC) P0101: range/performance problem in the Mass Air Flow (MAF) Sensor system.








(_P0102_)
The scan tool indicates Diagnostic Trouble Code (DTC) PO1O2: A low voltage problem in the Mass Air Flow (MAF) Sensor circuit.





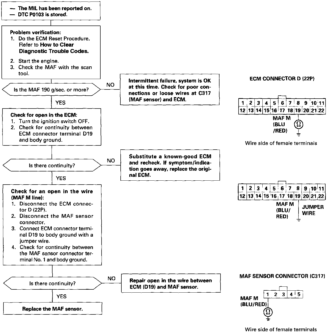
(_P0103_)
The scan tool indicates Diagnostic Trouble Code (DTC) PO1O3: A high voltage problem in the Mass Air Flow Sensor circuit.




(_P1102_)
- The scan tool indicates Diagnostic Trouble Code (DTC) P1102: Mass Air Flow (MAF) lower than expected.

CAUTION:
- To prevent transmission damage, do not depress the accelerator pedal more than 10 seconds at a time.
- Do not shift the lever while raising the engine speed.




(_P1103_)
- The scan tool indicates Diagnostic Trouble Code (DTC) P1103: Mass Air Flow (MAF) higher than expected.