Operation CHARM: Car repair manuals for everyone.
Manuals through 2025 now available!

Our trusted friends have launched a new website named LEMON, which has newer manuals. It also contains all the CHARM manuals.

LEMON is the spiritual successor to CHARM, I recommend you try it!

Link: lemon-manuals.la or lemon-manuals.org.ua

(Some people have issue connecting. LEMON is investigating. For now, use Firefox or change your DNS server)

Or, hide this message: temporarily or permanently

General Specifications







Cylinder Head Specifications:




Cylinder Block Specifications:




Engine Lubrication:




Engine Cooling System:




Fuel System:




5 Speed Automatic Transmission Specifications:




Continued:




Continued:




Continued:










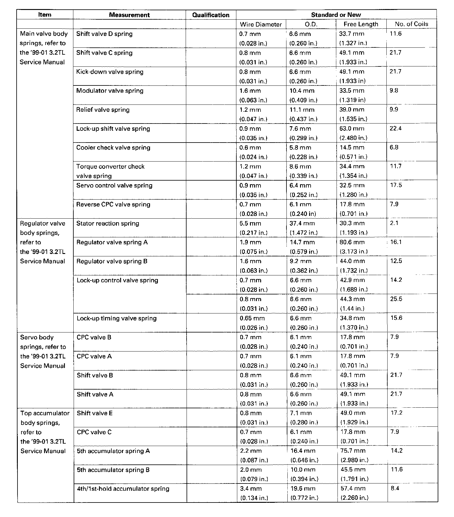
Accumulator Springs:




Automatic Transmission Differential Carrier:




Steering Specifications:




Alignment:




Brake Specifications:













Electrical: