Operation CHARM: Car repair manuals for everyone.
Manuals through 2025 now available!

Our trusted friends have launched a new website named LEMON, which has newer manuals. It also contains all the CHARM manuals.

LEMON is the spiritual successor to CHARM, I recommend you try it!

Link: lemon-manuals.la or lemon-manuals.org.ua

(Some people have issue connecting. LEMON is investigating. For now, use Firefox or change your DNS server)

Or, hide this message: temporarily or permanently

Evaluating Measured Value Blocks




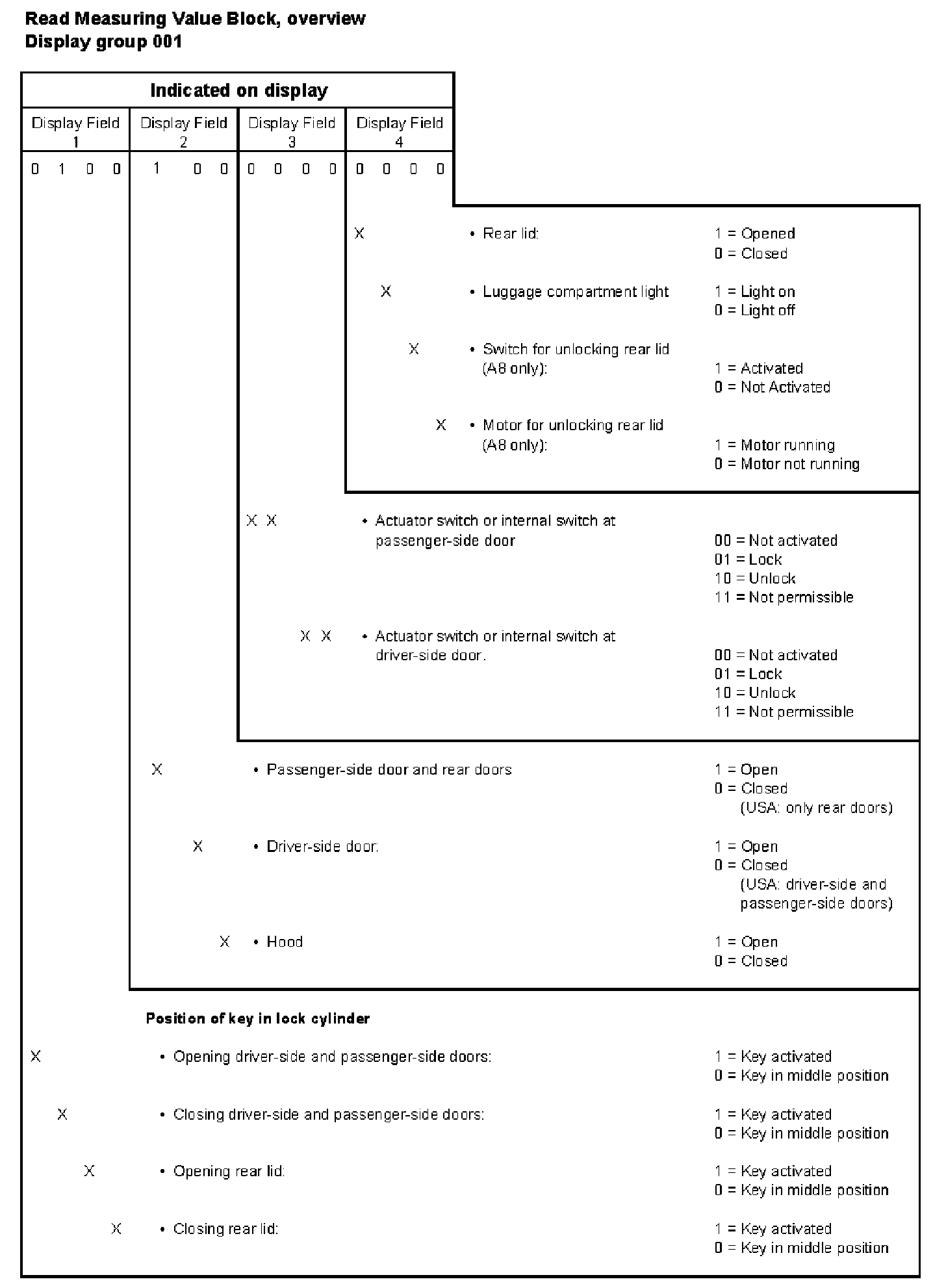
Read Measuring Value Block, Overview

Display Group 001


Display Group 001:






Display group 002


Display Group 002:






Display group 003


Display Group 003:






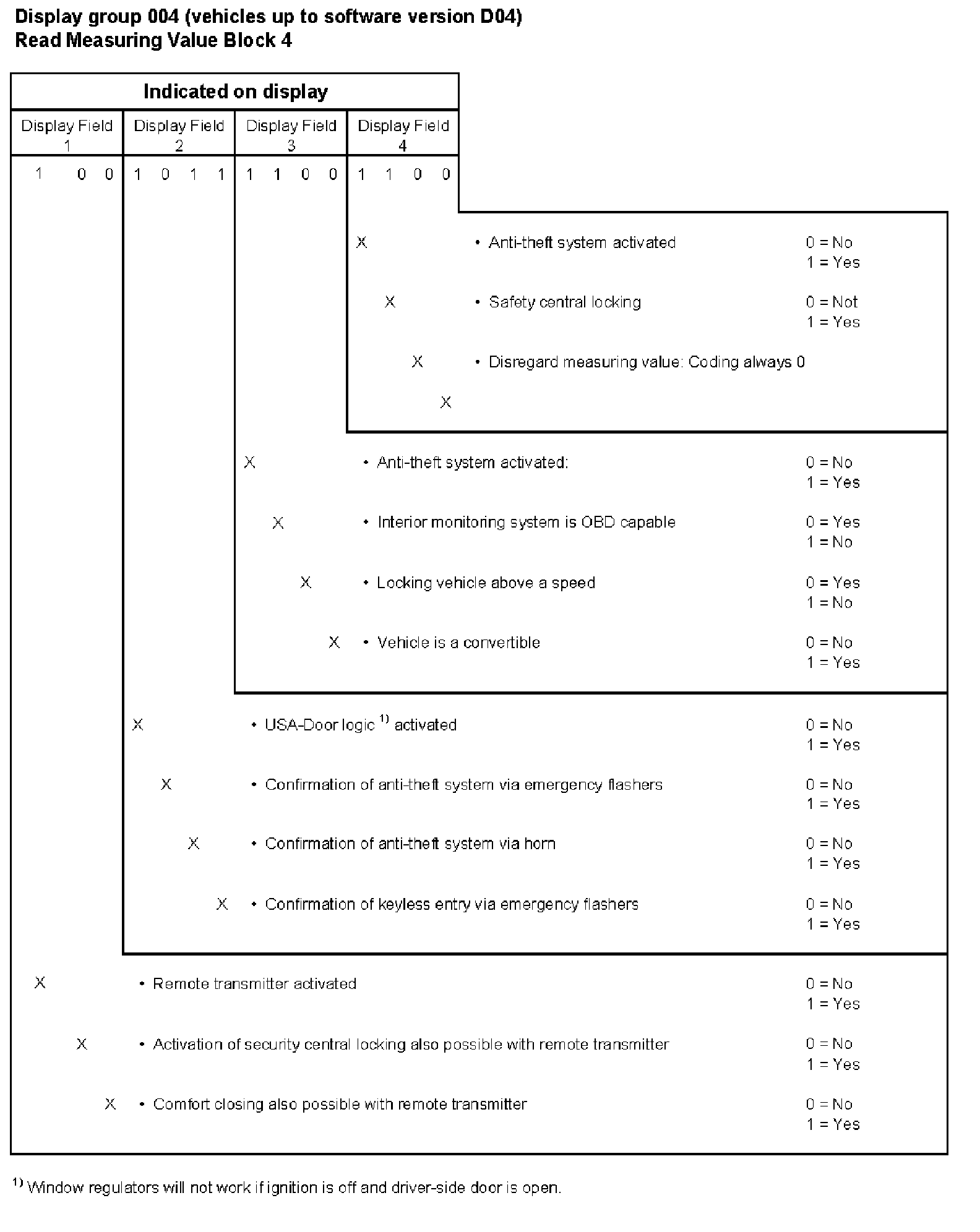
Display group 004 (vehicles up to software version D04)


Display Group 004:






Display group 004 (vehicles from software version D05)


Display Group 004: