Operation CHARM: Car repair manuals for everyone.
Manuals through 2025 now available!

Our trusted friends have launched a new website named LEMON, which has newer manuals. It also contains all the CHARM manuals.

LEMON is the spiritual successor to CHARM, I recommend you try it!

Link: lemon-manuals.la or lemon-manuals.org.ua

(Some people have issue connecting. LEMON is investigating. For now, use Firefox or change your DNS server)

Or, hide this message: temporarily or permanently

Alignment: Specifications






Wheel Alignment Specified Values

Sportback

Specified values valid for all engine versions.






1 Angle of outer wheel is less by this amount. It can also be indicated negatively in alignment computer, depending on manufacturer.






Sedan/Avant

Specified values valid for all engine versions.






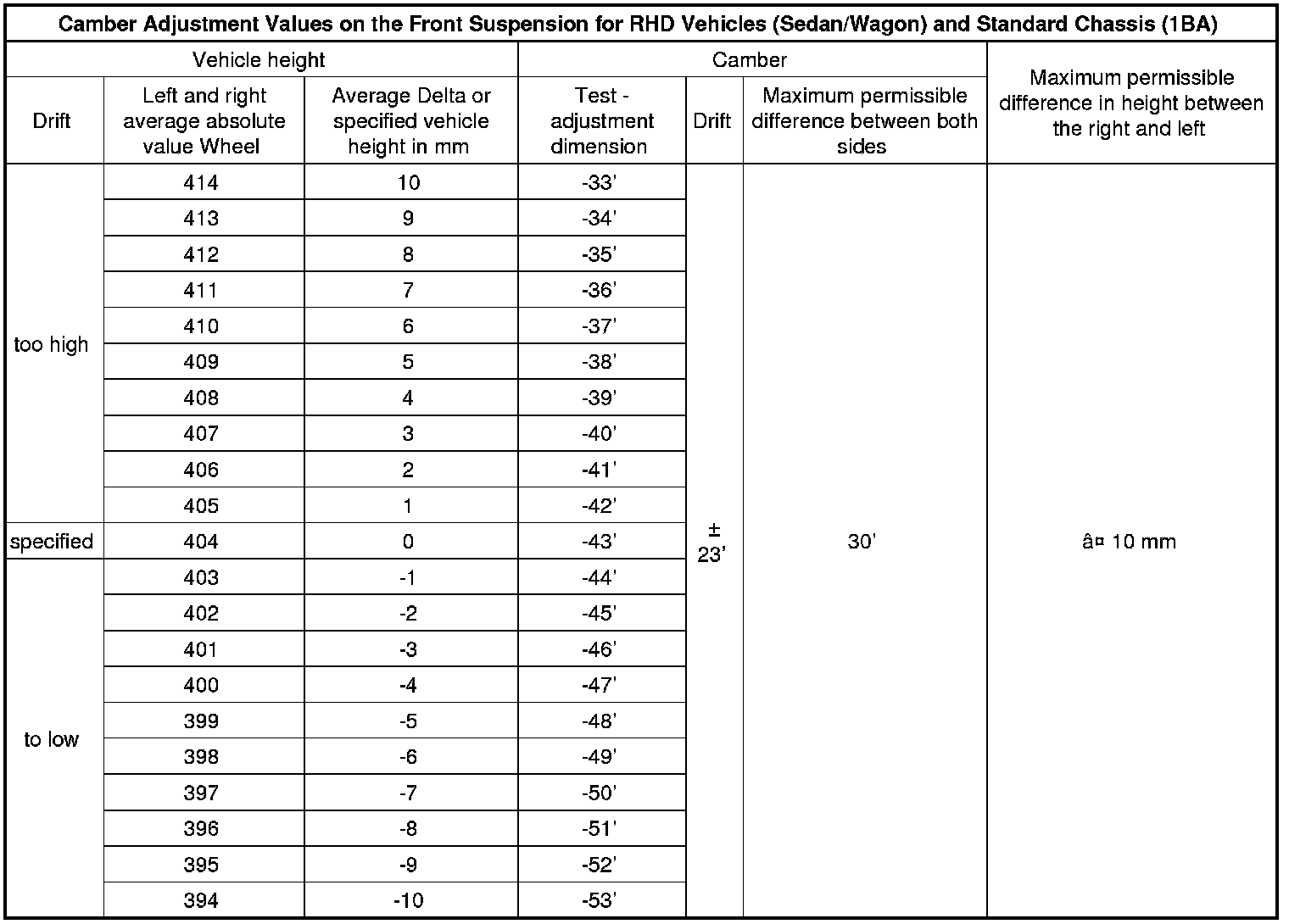
2 If the vehicle has RHD and the standard chassis (1BA), then check and adjust the camber on the front axle according to the height of the vehicle.

3 Angle of outer wheel is less by this amount. It can also be indicated negatively in alignment computer, depending on manufacturer.






Camber Adjustment Values on the Front Suspension for RHD Vehicles and Standard Chassis (1BA)






If the vehicle has RHD and the standard chassis (1BA), then check and adjust the camber on the front axle according to the height of the vehicle.

- Measure the vehicle height - a - at the right and left front wheels between the center of the wheel and the lower edge of the fender.

Maximum permissible difference in height between the right and left ≤ 10 mm

Calculating the Camber Adjustment Value

Camber adjustment value = -43' + [(vehicle height left + vehicle height right) : 2] - 404

1' camber = 1 mm vehicle height

The camber values are defined in the following table based on the vehicle heights at the front suspension.






Additional vehicle data for vehicles with front and all wheel drive:

This additional vehicle data only serves for a faster diagnosis in the case of accidents.