Operation CHARM: Car repair manuals for everyone.
Manuals through 2025 now available!

Our trusted friends have launched a new website named LEMON, which has newer manuals. It also contains all the CHARM manuals.

LEMON is the spiritual successor to CHARM, I recommend you try it!

Link: lemon-manuals.la or lemon-manuals.org.ua

(Some people have issue connecting. LEMON is investigating. For now, use Firefox or change your DNS server)

Or, hide this message: temporarily or permanently

Evaporative Emissions System: Testing and Inspection

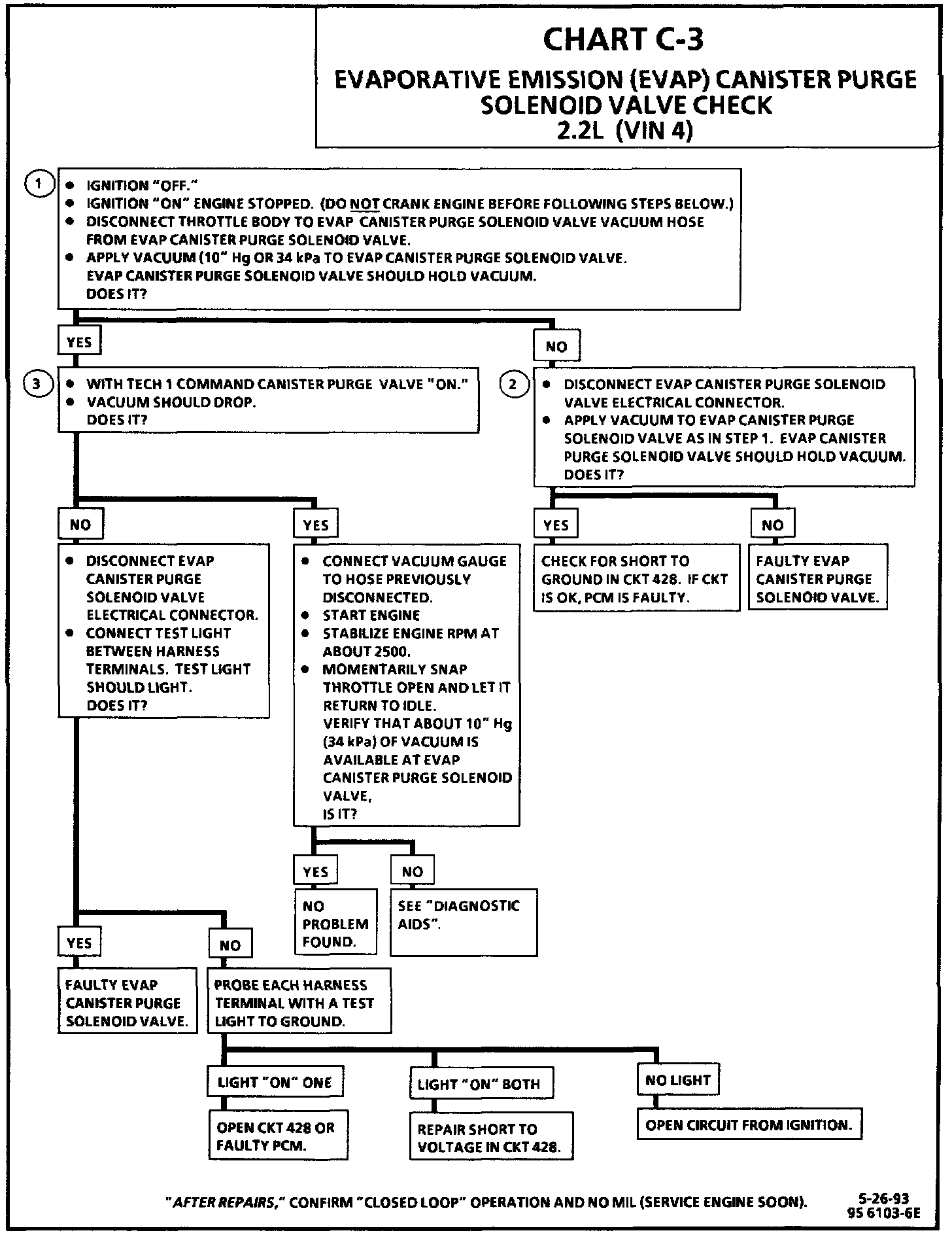
Chart C-3 - Evaporative Emission Canister Purge Solenoid Valve Check:




EVAP Canister Purge Solenoid Wiring Circuit:





Circuit Description:

Canister purge is controlled by a solenoid valve that allows manifold and/or ported vacuum to purge the canister when energized. The Powertrain Control Module (PCM) supplies a ground to energize the valve (purge "ON"). The purge solenoid valve control by the PCM is pulse width modulated (turned "ON" and "OFF" several times a second). The duty cycle (pulse width) is determined by "Closed Loop" feed back from the Oxygen Sensor (O2S). The duty cycle is calculated by the PCM and the output commanded when the following conditions have been met:
^ Engine run time after start more than 65 seconds.
^ Engine coolant temperature above 56°C (133°F).

Chart Test Description: Number(s) below refer to circled number(s) on the diagnostic chart.

1. Checks to see if the solenoid valve is opened or closed. The solenoid valve is normally deenergized in this step, so it should be closed.
2. Checks to determine if solenoid valve was open due to electrical circuit problem or defective solenoid.
3. Completes functional check by grounding test terminal. This should normally energize the solenoid valve opening the valve which should allow the vacuum to drop (purge "ON").

Diagnostic Aids: Make a visual check of vacuum hose(s). Check throttle body for possible cracked, broken, or plugged vacuum block. Check engine for possible mechanical problem.