Operation CHARM: Car repair manuals for everyone.
Manuals through 2025 now available!

Our trusted friends have launched a new website named LEMON, which has newer manuals. It also contains all the CHARM manuals.

LEMON is the spiritual successor to CHARM, I recommend you try it!

Link: lemon-manuals.la or lemon-manuals.org.ua

(Some people have issue connecting. LEMON is investigating. For now, use Firefox or change your DNS server)

Or, hide this message: temporarily or permanently

Power Liftgate Malfunction




Power Liftgate Malfunction

Diagnostic Instructions

* Perform the Diagnostic System Check - Vehicle (Diagnostic System Check - Vehicle) prior to using this diagnostic procedure.
* Review Strategy Based Diagnosis (Strategy Based Diagnosis) for an overview of the diagnostic approach.
* Diagnostic Procedure Instructions (Diagnostic Procedure Instructions)provides an overview of each diagnostic category.

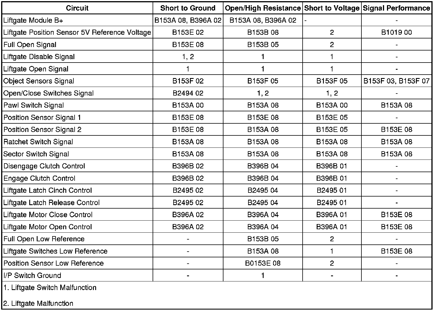
Diagnostic Fault Information





Circuit/System Description

The liftgate control module controls operation of the liftgate latch motor and the liftgate actuator assembly. Under normal conditions the power latch can only be unlatched under power from the liftgate control module through an input from the liftgate handle switch, the instrument panel switch, or the remote keyless entry (RKE) transmitter, but the liftgate may be manually closed to the primary latched position without the liftgate control module performing the power latch function. The ON/OFF switch in the instrument panel switch bank will enable or disable the power open/close operation of the actuator assembly but will have no effect on power latch operation. The liftgate actuator assembly consists of the actuator drive motor with 2 internal Hall effect sensors. The drive motor is mated to a worm type gear off the actuator clutch and when the clutch is engaged the motor rotation is transferred to the clutch gear, intermediate gear, and actuator arm gear. The full open switch is a limit switch mounted on the liftgate actuator assembly along side the actuator arm gear, and will make contact with the cam on the actuator arm gear when the liftgate is near the full open position. The liftgate control module continuously monitors the liftgate location and direction of travel using the 2 Hall effect sensors in the drive motor. The sensor counts are used to determine when the liftgate has reached the open and closed points of travel where the actuator clutch should be disengaged. These positions may vary slightly and must be learned when most liftgate components are serviced.

Diagnostic Aids

Before testing can be performed, the liftgate must be opened. Refer to Opening the Liftgate Without Electrical Power (Procedures) for the appropriate procedure.

Power liftgate function will only be allowed if certain operating criteria are met. Any of the following may cause the power liftgate not to function:

* After a power loss of the low current battery supply until the ignition is cycled.
* Vehicle is not in park.
* Engine cranking is present.
* Ambient temperature at the liftgate control module must be within -17 to +80°C (+1 to +176°F).
* Liftgate motor excess current is detected.
* System voltage is out of range.
* A DTC is set that disables power liftgate functionality.
* The liftgate is locked when attempting to open from exterior handle.

The liftgate control module also receives input from 2 pressure sensing object detection sensors. If either of these sensors indicates an object may be pinched as the liftgate is brought to the closed position, the liftgate will reverse direction and power close operation will be suspended until the pressure against the sensor is released.

Whenever the liftgate control module loses power or is disconnected, the ignition must be cycled OFF then ON in order to reactivate the liftgate control module.

Certain SIR DTCs will make the power liftgate inoperative. Correct any SIR concern first before performing any extensive power liftgate diagnostics.

Reference Information
Schematic Reference

Liftgate Schematics (Liftgate Schematics)
Connector End View Reference

Component Connector End Views (Connector End Views By Name)
Description and Operation

Rear Hatch/Gate Description and Operation (Rear Hatch/Gate)
Electrical Information Reference

* Circuit Testing (Circuit Testing)
* Connector Repairs (Connector Repairs)
* Testing for Intermittent Conditions and Poor Connections (Testing For Intermittent Conditions and Poor Connections)
* Wiring Repairs (Wiring Repairs)

Scan Tool Reference

Control Module References (Programming and Relearning)for scan tool information

Circuit/System Verification

1. Ignition ON, observe the scan tool LGM Disable Switch parameter while pressing and depressing the Liftgate Enable/Disable button on the I/P multifunction switch. The parameter should change from Inactive to Active.

If the value does not change, refer to I/P Multifunction Switch Malfunction.

2. Observe the scan tool LGM Front Control Switch parameter while pressing and releasing the liftgate button on the I/P multifunction switch. The parameter should change from Inactive and Active.

If the value does not change, refer to refer to I/P Multifunction Switch Malfunction.

3. Observe the Liftgate Handle Sw. Status parameter while pressing and releasing the exterior liftgate control switch and the interior liftgate control switch, the parameter should change from Inactive and Active.

If the value does not change, refer to Liftgate Interior/Exterior Control Switch Inoperative.

4. With the liftgate closed, observe the scan tool Pawl, Ratchet, and Sector switch parameters. Each parameter status should be as listed below:

* LGM Latch Pawl Sw. parameter - Inactive
* LGM Latch Ratchet Sw. parameter - Inactive
* LGM Latch Sector Sw. parameter - Inactive

If not the specified value, refer to Liftgate Latch Switches Malfunction

5. Verify the liftgate will manually open

If the liftgate does not manually open, refer to Liftgate Latch Release/Cinch Malfunction.

6. Verify that the liftgate will remain at or near the full open position for several minutes.

If the liftgate will not remain open, replace the liftgate struts.

7. Observe the scan tool Object Detection Sensor Status parameter. The reading should be between 3V-3.5V.

If not within the specified range, refer to Liftgate Object Sensor Malfunction

8. With the liftgate open, verify the scan tool Pawl, Ratchet, and Sector switch parameters are as listed below:

* LGM Latch Pawl Sw. parameter - Active
* LGM Latch Ratchet Sw. parameter - Active
* LGM Latch Sector Sw. parameter - Inactive

If not the specified value, refer to Liftgate Latch Switches Malfunction.

9. Observe the scan tool LGM Full Open Switch parameter while opening and closing the liftgate. The parameter should change between Active and Inactive as the liftgate is opened and closed.

If the value does not change, refer to Liftgate Full Open Switch Malfunction.

10. Liftgate closed, activate the power open function. Verify the liftgate power opens.

If the liftgate does not power open, refer to Liftgate Motor Power Open/Close Malfunction

11. Liftgate open, activate the power close function. Verify the liftgate power closes

If the liftgate does not power close, refer to Liftgate Motor Power Open/Close Malfunction.

Circuit/System Testing

I/P Multifunction Switch Malfunction
1. Ignition OFF, disconnect the harness connector at the I/P multifunction switch.
2. Test for less than 10 ohm between the ground circuit terminal 3 and ground.

If greater than the specified range, test the ground circuit for an open/high resistance.

3. Ignition ON, verify the scan tool LGM Disable Switch parameter is Inactive.

If not the specified value, test the signal circuit terminal 8 for a short to ground. If the circuit tests normal, replace the K39 liftgate control module.

4. Install a 3A fused jumper wire between the signal circuit terminal 8 and ground. Verify the scan tool LGM Disable Switch parameter is Active.

If not the specified value, test the signal circuit for a short to voltage or an open/high resistance. If the circuit tests normal, replace the K39 liftgate control module.

5. Verify the scan tool LGM Front Control Switch parameter is Inactive.

If not the specified value, test the signal circuit terminal 7 for a short to ground. If the circuit tests normal, replace the K39 liftgate control module.

6. Install a 3A fused jumper wire between the signal circuit terminal 7 and ground. Verify the scan tool LGM Front Control Switch parameter is Active.

If not the specified value, test the signal circuit for a short to voltage or an open/high resistance. If the circuit tests normal, replace the K39 liftgate control module.

7. If all circuits test normal, test or replace the I/P multifunction switch.

Liftgate Interior/Exterior Control Switch Inoperative
1. Ignition OFF, disconnect the harness connectors at the exterior liftgate control switch and the interior liftgate control switch.
2. Test for less than 20 ohm between the low reference circuit terminal 2 and ground.

If greater than the specified range, test the low reference circuit for a short to voltage or an open/high resistance.

3. Ignition ON, verify the scan tool Liftgate Handle Sw. Status parameter is Inactive.

If not the specified value, test the signal circuit terminal 1 for a short to ground. If the circuit tests normal, replace the K39 liftgate control module.

4. Install a 3A fused jumper wire between the signal circuit terminal 1 and ground. Verify the scan tool Liftgate Handle Sw. Status parameter is Active.

If not the specified value, test the signal circuit for a short to voltage or an open/high resistance. If the circuit tests normal, replace the K39 liftgate control module.

5. Ignition OFF, connect the harness connector at the interior liftgate control switch.
6. Ignition ON, observe the scan tool Liftgate Handle Sw. Status parameter while pressing and releasing the interior liftgate control switch, the parameter should change between Active and Inactive.

If the value does not change, test or replace the interior liftgate control switch.

7. If all circuits test normal, test or replace the exterior liftgate control switch.

Liftgate Object Sensor Malfunction
1. Ignition OFF, disconnect the harness connector at the B71L liftgate object sensor - left.
2. Test for less than 30 ohm between the low reference circuit terminal A and ground.

If greater than the specified range, test the low reference circuit for a short to voltage or an open/high resistance. If the circuit tests normal, replace the K39 liftgate control module.

3. Disconnect the harness connector at the B71R liftgate object sensor - right.
4. Ignition ON, test for 4.75-5.25 V between the signal circuit terminal B and ground.

If less than the specified range, test the signal circuit for a short to ground or an open/high resistance. If the circuit tests normal, replace the K39 liftgate control module.
If greater than the specified range, test the signal circuit for a short to voltage. If the circuit tests normal, replace the K39 liftgate control module.

5. Test for less than 10 ohm between the signal circuit terminal A at the B71R liftgate object sensor - right and the signal circuit terminal B at the B71L liftgate object sensor - left

If greater than the specified range, test the signal circuit between the two sensors for an open/high resistance

6. If all circuits test normal, test or replace the B71L liftgate object sensors.

Liftgate Latch Switches Malfunction
1. Ignition OFF, disconnect the harness connector at the A23C liftgate latch assembly.
2. Test for less than 10 ohm between the low reference circuit terminal 2 and ground.

If greater than the specified range, test the low reference circuit for a short to voltage or an open/high resistance. If the circuit tests normal, replace the K39 liftgate control module.

3. Ignition ON, verify the scan tool LGM Latch Pawl Sw. parameter is Inactive.

If not the specified value, test the signal circuit terminal 5 for a short to ground. If the circuit tests normal, replace the K39 liftgate control module.

4. Install a 3 A fused jumper wire between the signal circuit terminal 5 and the low reference circuit terminal 2. Verify the scan tool LGM Latch Pawl Sw. parameter is Active.

If not the specified value, test the signal circuit for a short to voltage or an open/high resistance. If the circuit tests normal, replace the K39 liftgate control module.

5. Verify the scan tool LGM Latch Ratchet Sw. parameter is Inactive.

If not the specified value, test the signal circuit terminal 6 for a short to ground. If the circuit tests normal, replace the K39 liftgate control module.

6. Install a 3 A fused jumper wire between the signal circuit terminal 6 and low reference circuit terminal 2. Verify the scan tool LGM Latch Ratchet Sw. parameter is Active.

If not the specified value, test the signal circuit for a short to voltage or an open/high resistance. If the circuit tests normal, replace the K39 liftgate control module.

7. Verify the scan tool LGM Latch Sector Sw. parameter is Inactive.

If not the specified value, test the signal circuit terminal 4 for a short to ground. If the circuit tests normal, replace the K39 liftgate control module.

8. Install a 3 A fused jumper wire between the signal circuit terminal 4 and low reference circuit terminal 2. Verify the scan tool LGM Latch Sector Sw. parameter is Active.

If not the specified value, test the signal circuit for a short to voltage or an open/high resistance. If the circuit tests normal, replace the K39 liftgate control module.

9. If all circuits test normal, test or replace the A23C liftgate latch assembly.

Liftgate Latch Release/Cinch Malfunction
1. Ignition OFF, disconnect the harness connector at the A23C liftgate latch assembly.
2. Test for less than 5 ohm between the control circuit terminal 1 and ground

If greater than the specified range, test the control circuit for a short to voltage or an open/high resistance. If circuits test normal, replace the K39 liftgate control module.

3. Test for less than 5 ohm between the control circuit terminal 3 and ground.

If greater than the specified range, test the control circuit for a short to voltage or an open/high resistance. If circuits test normal, replace the K39 liftgate control module.

4. Connect a test lamp between control circuit terminal 1 and ground.
5. Ignition ON, command the liftgate to OPEN by pressing the interior liftgate control switch. The test lamp should illuminate while commanding the OPEN state.

If the test lamp is always OFF, test the control circuit for a short to ground or an open/high resistance. If the circuit tests normal, replace the K39 liftgate control module.

If the test lamp is always ON, test the control circuit for a short to voltage, if the circuit tests normal, replace the K39 liftgate control module.

6. Ignition OFF, connect a test lamp between the control circuit terminal 3 and ground.
7. Connect a 3A fused jumper wire between the signal circuit terminal 6 and ground.
8. Ignition ON, command the liftgate to CLOSE by pressing the interior liftgate control switch. The test lamp should illuminate while commanding the CLOSE state.

If the test lamp is always OFF, test the control circuit for a short to ground or an open/high resistance. If the circuit tests normal, replace the K39 liftgate control module.

If the test lamp is always ON, test the control circuit for a short to voltage, if the circuit tests normal, replace the K39 liftgate control module.

9. If all circuits test normal, test or replace the A23C liftgate latch assembly.

Liftgate Full Open Switch Malfunction
1. Ignition OFF, disconnect the X3 harness connector at the K39 liftgate control module.
2. Ignition ON, verify the scan tool LGM Full Open Switch parameter is Inactive.

If not the specified value, replace the K39 liftgate control module.

3. Liftgate OPEN, test for less than 1 ohm between the signal circuit terminal 5 and the ground circuit terminal 6.

If greater than the specified range, replace the liftgate actuator assembly.

4. Liftgate CLOSED, test for infinite resistance between the signal circuit terminal 5 and the ground circuit terminal 6.

If less than the specified value, replace the liftgate actuator assembly.

5. If all circuits test normal, replace the K39 liftgate control module.

Liftgate Motor Power Open/Close Malfunction
1. Ignition OFF, disconnect the X3 harness connector at the K39 liftgate control module.
2. Test for infinite resistance between the control circuit terminal 1 and ground.

If greater than the specified range, test the control circuit for a short to ground. If the circuit tests normal, replace the liftgate actuator assembly.

3. Verify that a test lamp does not illuminate between the control circuit terminal 1 and ground.

If the test lamp illuminates, test the control circuit for a short to voltage. If the circuit tests normal, replace the liftgate actuator assembly.

4. Verify that a test lamp does not illuminate between the control circuit terminal 1 and B+.

If the test lamp illuminates, test the control circuit for a short to ground. If the circuit tests normal, replace the liftgate actuator assembly.

5. Test for infinite resistance between the control circuit terminal 2 and ground.

If greater than the specified range, test the control circuit for a short to ground. If the circuit tests normal, replace the liftgate actuator assembly.

6. Verify that a test lamp does not illuminate between the control circuit terminal 2 and ground.

If the test lamp illuminates, test the control circuit for a short to voltage. If the circuit tests normal, replace the liftgate actuator assembly.

7. Verify that a test lamp does not illuminate between the control circuit terminal 2 and B+.

If the test lamp illuminates, test the control circuit for a short to ground. If the circuit tests normal, replace the liftgate actuator assembly.

8. If all circuits test normal, replace the K39 liftgate control module.

Component Testing

Liftgate Object Sensor
1. Ignition OFF, disconnect the harness connectors at the B71 liftgate object sensor.
2. Test for 8k-12k ohm between the signal terminal A and the low reference terminal B.

If not within the specified range, replace the B71 liftgate object sensor.

Interior/Exterior Liftgate Control Switch
1. Ignition OFF, disconnect the harness connector at the appropriate liftgate control switch.
2. Test for infinite resistance between the signal terminal 1 and the low reference terminal 2 with the switch in the open position.

If not the specified value, replace the liftgate control switch.

3. Test for less than 2 ohm between the signal terminal 1 and the low reference terminal 2 with the switch in the closed position.

If greater than the specified range, replace the liftgate control switch.

Liftgate Latch Assembly
1. Install a 20A fused jumper wire between the control terminal 1 and 12V. Momentarily install a jumper wire between the control terminal 3 and ground. The liftgate latch assembly should perform the CINCH or RELEASE function.

If the function does not perform as specified, replace the liftgate latch assembly.

2. Reverse the jumper wires, the liftgate latch assembly should perform the RELEASE or CINCH function.

If the function does not perform as specified, replace the liftgate latch assembly.

I/P Multifunction Switch Assembly
1. Ignition OFF, disconnect the harness connector at the I/P multifunction switch.
2. Test for infinite resistance between the signal terminal 7 and the ground terminal 3 with the liftgate open switch in the inactive position.

If not the specified value, replace the I/P multifunction switch.

3. Test for infinite resistance between the signal terminal 8 and the ground terminal 3 with the liftgate disable switch in the inactive position.

If not the specified value, replace the I/P multifunction switch.

4. Test for less than 3 ohm between the signal terminal 7 and the ground terminal 3 with the liftgate open switch in the active position.

If greater than the specified range, replace the I/P multifunction switch.

5. Test for less than 3 ohm between the signal terminal 8 and the ground terminal 3 with the switch in the disable position.

If greater than the specified range, replace the I/P multifunction switch.

Repair Instructions

Perform the Diagnostic Repair Verification (Verification Tests) after completing the diagnostic procedure.

* Liftgate Actuator Replacement (Liftgate Actuator Replacement)
* Liftgate Latch Replacement (Service and Repair)
* Liftgate Close Switch Replacement (Service and Repair)
* Liftgate Side Upper Sensor Replacement (Service and Repair)
* Liftgate Outside Handle Replacement (Service and Repair)
* Control Module References (Programming and Relearning)for liftgate control module replacement, setup and programming