Operation CHARM: Car repair manuals for everyone.
Manuals through 2025 now available!

Our trusted friends have launched a new website named LEMON, which has newer manuals. It also contains all the CHARM manuals.

LEMON is the spiritual successor to CHARM, I recommend you try it!

Link: lemon-manuals.la or lemon-manuals.org.ua

(Some people have issue connecting. LEMON is investigating. For now, use Firefox or change your DNS server)

Or, hide this message: temporarily or permanently

Power Windows Malfunction




Power Windows Malfunction

Diagnostic Instructions

* Perform the Diagnostic System Check - Vehicle Diagnostic System Check - Vehicle prior to using this diagnostic procedure.

* Review Strategy Based Diagnosis Strategy Based Diagnosis for an overview of the diagnostic approach.

* Diagnostic Procedure Instructions Diagnostic Procedure Instructions provides an overview of each diagnostic category.

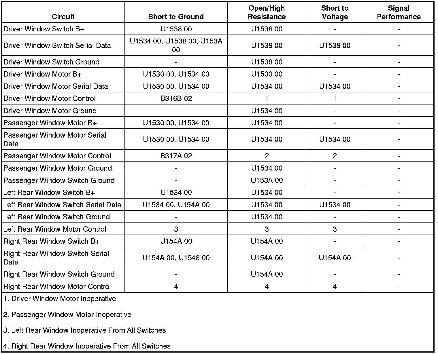
Diagnostic Fault Information






Circuit/System Description

The driver and passenger window motors supply 12V signal circuits to their respective window switches, when a window switch has been activated, a switch closes providing a ground to the appropriate signal circuit causing the voltage to drop to 0V. The window motor will detect the voltage drop in the signal circuit and will command the window to move in the desired direction.

The driver window master control switch also contains control switches for the passenger, left rear and right rear window functions. When a window switch is pressed, a serial data message is sent to the body control module (BCM). The BCM examines the request and checks for messages from other power window motors that may prohibit window movement. If no prohibitive messages have been received, the BCM will send a serial data message to the passenger window motor or to the appropriate rear window switch which will perform the command as requested.

Diagnostic Aids

The loss of the express up and express down functions for the driver or passenger window may have occurred for the following reasons:

* The battery was disconnected

* The battery was replaced

* A door wiring harness was disconnected

* A window motor was disconnected

The window motor will need to be normalized in order to restore the express functions, refer to Window Motor Programming - Express Function Testing and Inspection for the proper procedure

Reference Information

Schematic Reference

Moveable Window Schematics Electrical Diagrams

Connector End View Reference

Component Connector End Views Fuel Pump and Level Sensor Assembly

Description and Operation

Power Windows Description and Operation Power Windows

Electrical Information Reference

* Circuit Testing Circuit Testing

* Connector Repairs Connector Repairs

* Testing for Intermittent Conditions and Poor Connections Testing for Intermittent Conditions and Poor Connections

* Wiring Repairs Wiring Repairs

Scan Tool Reference

Control Module References Control Module References for scan tool information

Circuit/System Verification

1. Ignition ON.

2. Verify the driver window functions while commanding the Driver Window Motor Up and Down with a scan tool.

If the window does not move UP and DOWN as commanded
Refer to Circuit/System Testing - Driver/Passenger Window Motor Malfunction.

If the window moves UP and DOWN as commanded

3. Verify the driver window moves while commanding the window UP and DOWN with the driver window switch.

If the window does not move UP and DOWN as commanded
Refer to Circuit/System Testing - Driver Window Switch Malfunction.

If the window moves UP and DOWN as commanded

4. Verify the driver window performs the express UP and express DOWN functions with the driver window switch.

If the driver window does not express UP or express DOWN
Normalize the driver window motor, refer to Window Motor Programming - Express Function Testing and Inspection.

1. Verify the driver window performs the express UP and express DOWN functions with the driver window switch

If the driver window does not express UP or express DOWN
Refer to Circuit/System Testing - Driver Window Switch Malfunction.

If the driver window performs the express UP and express DOWN functions

5. Verify the scan tool parameters listed below change when pressing and pulling the switches for the passenger, left rear and right rear window on the driver window master control;

* Left Rear Main Control Down Switch - Inactive and Active

* Left Rear Main Control Express Switch - Inactive and Active

* Left Rear Main Control Up Switch - Inactive and Active

* Right Rear Main Control Down Switch - Inactive and Active

* Right Rear Main Control Express Switch - Inactive and Active

* Right Rear Main Control Up Switch - Inactive and Active

* Front Passenger Main Control Down Switch - Inactive and Active

* Front Passenger Main Control Express Switch - Inactive and Active

* Front Passenger Main Control Up Switch - Inactive and Active

If the parameters do not change
Refer to Circuit/System Testing - Driver Window Switch Malfunction.

If the parameters changes

6. Verify the scan tool Child Security Lockout Switch parameter changes between Inactive and Active when pressing the window lockout switch.

If the parameters do not change
Refer to Power Door Child Lock Malfunction Power Door Child Lock Malfunction

If the parameters changes

7. Verify the lockout indicator turns ON and OFF when commanding the Child Security Lock Indicator ON and OFF with a scan tool.

If the indicator does not turn ON and OFF
Replace the S79D window switch-driver.

If the indicator turns ON and OFF

8. Verify the passenger window moves while commanding the Passenger Window Motor Up and Down with a scan tool.

If the passenger window does not move UP and DOWN as commanded
Refer to Circuit/System Testing - Driver/Passenger Window Motor Malfunction.

If the window moves UP and DOWN as commanded

9. Verify the passenger window moves while commanding the window UP and DOWN with the passenger window switch.

If the passenger window does not move UP and DOWN as commanded
Refer to Circuit/System Testing - Passenger Window Switch Malfunction.

If the window moves UP and DOWN as commanded

10. Verify the passenger window performs the express UP and express DOWN functions with the passenger window switch.

If the passenger window does not express UP or express DOWN
Normalize the passenger window motor, refer to Window Motor Programming - Express Function Testing and Inspection.

1. Verify the passenger window performs the express UP and express DOWN functions with the passenger window switch

If the passenger window does not express UP or express DOWN
Refer to Circuit/System Testing - Passenger Window Switch Malfunction.

If the passenger window performs the express UP and express DOWN functions

11. Verify the left rear and right rear window move while commanding the Left Rear Window Motor and Right Rear Window Motor Up and Down with a scan tool.

If a rear window does not move UP and DOWN as commanded
Refer to Circuit/System Testing - Rear Power Window Inoperative.

If the rear window moves UP and DOWN as commanded

12. Command the rear window lockout by pressing the window lockout switch on the driver window switch.

13. Verify the left rear and right rear window does not move while commanding the window UP and DOWN with the left rear window switch and right rear window switch.

If a rear window moves UP and DOWN as commanded
Refer to Power Door Child Lock Malfunction Power Door Child Lock Malfunction.

If the rear windows do not move UP and DOWN

14. All OK.

Circuit/System Testing

Driver/Passenger Window Motor Malfunction

1. Ignition OFF and all vehicle systems OFF, disconnect the harness connector at the appropriate driver or passenger M74 window motor. It may take up to 2 minutes for all vehicle systems to power down.

2. Test for less than 10 ohms between the ground circuit terminal 1 and ground.

If 10 ohms or greater

1. Ignition OFF.

2. Test for less than 2 ohms in the ground circuit end to end.

If 2 ohms or greater, repair the open/high resistance in the circuit.

If less than 2 ohms, repair the open/high resistance in the ground connection.

If less than 10 ohms

3. Ignition ON.

4. Verify a test lamp illuminates between the B+ circuit terminal 2 and ground.

If the test lamp does not illuminate and the circuit fuse is good

1. Ignition OFF.

2. Test for less than 2 ohms in the B+ circuit end to end.

If 2 ohms or greater, repair the open/high resistance in the circuit.

If less than 2 ohms, verify the fuse is not open and there is voltage at the fuse.

If the test lamp does not illuminate and the circuit fuse is open

1. Ignition OFF.

2. Test for infinite resistance between the B+ circuit and ground.

If less than infinite resistance, repair the short to ground on the circuit.

If infinite resistance, replace the M74 window motor.

If the test lamp illuminates

5. Test for 5-10 V between the serial data circuit terminal 4 and ground

If less than 5 V

1. Ignition OFF, disconnect the harness connector at the K9 body control module.

2. Test for infinite resistance between the serial data circuit and ground.

If less than infinite resistance, repair the short to ground on the circuit.

If infinite resistance

3. Test for less than 2 ohms in the serial data circuit end to end.

If 2 ohms or greater, repair the open/high resistance on the circuit.

If less than 2 ohms, replace the K9 body control module.

If greater than 10 V

1. Ignition OFF, disconnect the harness connector at the K9 body control module, ignition ON.

2. Test for less than 1 V between the serial data circuit and ground.

If 1 V or greater, repair the short to voltage on the circuit.

If less than 1 V, replace the K9 body control module.

If between 5-10 V

6. Test or replace the M74 window motor.

Driver Window Switch Malfunction

1. Ignition OFF and all vehicle systems OFF, disconnect the harness connector at the S79D window switch-driver. It may take up to 2 minutes for all vehicle systems to power down.

2. Test for less than 10 ohms between the ground circuit terminal 1 and ground.

If 10 ohms or greater

1. Ignition OFF.

2. Test for less than 2 ohms in the ground circuit end to end.

If 2 ohms or greater, repair the open/high resistance in the circuit.

If less than 2 ohms, repair the open/high resistance in the ground connection.

If less than 10 ohms

3. Ignition ON.

4. Verify a test lamp illuminates between the B+ circuit terminal 4 and ground.

If the test lamp does not illuminate and the circuit fuse is good

1. Ignition OFF.

2. Test for less than 2 ohms in the B+ circuit end to end.

If 2 ohms or greater, repair the open/high resistance in the circuit.

If less than 2 ohms, verify the fuse is not open and there is voltage at the fuse.

If the test lamp does not illuminate and the circuit fuse is open

1. Ignition OFF.

2. Test for infinite resistance between the B+ circuit and ground.

If less than infinite resistance, repair the short to ground on the circuit.

If infinite resistance, replace the S79D window switch-driver

If the test lamp illuminates

5. Test for 5-10 V between the serial data circuit terminal 5 and ground

If less than 5 V

1. Ignition OFF, disconnect the harness connector at the K9 body control module.

2. Test for infinite resistance between the serial data circuit and ground.

If less than infinite resistance, repair the short to ground on the circuit.

If infinite resistance

3. Test for less than 2 ohms in the serial data circuit end to end.

If 2 ohms or greater, repair the open/high resistance on the circuit.

If less than 2 ohms, replace the K9 body control module.

If greater than 10 V

1. Ignition OFF, disconnect the harness connector at the K9 body control module, ignition ON.

2. Test for less than 1 V between the serial data signal circuit and ground.

If 1 V or greater, repair the short to voltage on the circuit.

If less than 1 V, replace the K9 body control module.

If between 5-10 V

6. Verify the scan tool Driver Window Main Control Down Switch parameter is Inactive.

If not Inactive

1. Ignition OFF, disconnect the harness connector at the M74D window motor-driver.

2. Test for infinite resistance between the signal circuit terminal 3 and ground.

If less than infinite resistance, repair the short to ground on the circuit.

If infinite resistance, replace the M74D window motor-driver.

If Inactive

7. Install a 3 A fused jumper wire between the signal circuit terminal 3 and the ground circuit terminal 1.

8. Verify the scan tool Driver Window Main Control Down Switch parameter is Active

If not Active

1. Ignition OFF, disconnect the harness connector at the M74D window motor-driver, ignition ON.

2. Test for less than 1 V between the signal circuit terminal 7 and ground.

If 1 V or greater, repair the short to voltage on the circuit.

If less than 1 V

3. Test for less than 2 ohms in the signal circuit end to end.

If 2 ohms or greater, repair the open/high resistance in the circuit.

If less than 2 ohms, replace the M74D window motor-driver.

If Active

9. Verify the scan tool Driver Window Main Control Up Switch parameter is Inactive.

If not Inactive

1. Ignition OFF, disconnect the harness connector at the M74D window motor-driver.

2. Test for infinite resistance between the signal circuit terminal 6 and ground.

If less than infinite resistance, repair the short to ground on the circuit.

If infinite resistance, replace the M74D window motor-driver.

If Inactive

10. Install a 3 A fused jumper wire between the signal circuit terminal 6 and the ground circuit terminal 1.

11. Verify the scan tool Driver Window Main Control Up Switch parameter is Active

If not Active

1. Ignition OFF, disconnect the harness connector at the M74D window motor-driver, ignition ON.

2. Test for less than 1 V between the signal circuit and ground.

If 1 V or greater, repair the short to voltage on the circuit.

If less than 1 V

3. Test for less than 2 ohms in the signal circuit end to end.

If 2 ohms or greater, repair the open/high resistance in the circuit.

If less than 2 ohms, replace the M74D window motor-driver.

If Active

12. Verify the scan tool Driver Window Main Control Express Switch parameter is Inactive.

If not Inactive

1. Ignition OFF, disconnect the harness connector at the M74D window motor-driver.

2. Test for infinite resistance between the signal circuit terminal 2 and ground.

If less than infinite resistance, repair the short to ground on the circuit.

If infinite resistance, replace the M74D window motor-driver.

If Inactive

13. Install a 3 A fused jumper wire between the signal circuit terminal 2 and the ground circuit terminal 1.

14. Verify the scan tool Driver Window Main Control Express Switch parameter is Active

If not Active

1. Ignition OFF, disconnect the harness connector at the M74D window motor-driver, ignition ON.

2. Test for less than 1 V between the signal circuit and ground.

If 1 V or greater, repair the short to voltage on the circuit.

If less than 1 V

3. Test for less than 2 ohms in the signal circuit end to end.

If 2 ohms or greater, repair the open/high resistance in the circuit.

If less than 2 ohms, replace the M74D window motor-driver.

If Active

15. Test or replace the S79D window switch-driver.

Passenger Window Switch Malfunction

1. Ignition OFF and all vehicle systems OFF, disconnect the harness connector at the S79P window switch-passenger. It may take up to 2 minutes for all vehicle systems to power down.

2. Test for less than 10 ohms between the ground circuit terminal 1 and ground.

If 10 ohms or greater

1. Ignition OFF.

2. Test for less than 2 ohms in the ground circuit end to end.

If 2 ohms or greater, repair the open/high resistance in the circuit.

If less than 2 ohms, repair the open/high resistance in the ground connection.

If less than 10 ohms

3. Ignition ON.

4. Verify the scan tool Passenger Window Switch at Door parameter is Inactive.

If the value is UP

1. Ignition OFF, disconnect the harness connector at the M74P window motor-passenger.

2. Test for infinite resistance between the signal circuit terminal 8 and ground.

If less than infinite resistance, repair the short to ground on the circuit.

If infinite resistance, replace the M74P window motor-passenger.

If the value is Down

1. Ignition OFF, disconnect the harness connector at the M74P window motor-passenger, ignition ON.

2. Test for infinite resistance between the signal circuit terminal 7 and ground.

If less than infinite resistance, repair the short to ground on the circuit.

If infinite resistance, replace the M74P window motor-passenger.

If Inactive

5. Install a 3 A fused jumper wire between the signal circuit terminal 7 and the ground circuit terminal 1.

6. Verify the scan tool Passenger Window Switch at Door parameter is Down

If Inactive

1. Ignition OFF, disconnect the harness connector at the M74P window motor-passenger, ignition ON.

2. Test for less than 1 V between the signal circuit terminal 7 and ground.

If 1 V or greater, repair the short to voltage on the circuit.

If less than 1 V

3. Test for less than 2 ohms in the signal circuit end to end.

If 2 ohms or greater, repair the open/high resistance in the circuit.

If less than 2 ohms, replace the M74P window motor - passenger.

If Down

7. Install a 3 A fused jumper wire between the signal circuit terminal 8 and ground circuit terminal 1.

8. Verify the scan tool Passenger Window Switch at Door parameter is Up

If Inactive

1. Ignition OFF, disconnect the harness connector at the M74P window motor-passenger, ignition ON.

2. Test for less than 1 V between the signal circuit terminal 8 and ground.

If 1 V or greater, repair the short to voltage on the circuit.

If less than 1 V

3. Test for less than 2 ohms in the signal circuit end to end.

If 2 ohms or greater, repair the open/high resistance in the circuit.

If less than 2 ohms, replace the M74P window motor - passenger.

If Down

9. Test for greater than 10 V between the signal circuit terminal 6 and ground circuit terminal 1.

If less than 10 V

1. Ignition OFF, disconnect the harness connector at the M74P window motor-passenger.

2. Test for infinite resistance between the signal circuit and ground.

If less than infinite resistance, repair the short to ground on the circuit.

If infinite resistance

3. Test for less than 2 ohms in the signal circuit end to end.

If 2 ohms or greater, repair the open/high resistance on the circuit.

If less than 2 ohms, replace the M74P window motor-passenger.

If greater than 10 V

10. Test or replace the S79P window switch-passenger.

Rear Power Window Inoperative

1. Ignition OFF and all vehicle systems OFF, disconnect the harness connector at the appropriate rear S79 window switch. It may take up to 2 minutes for all vehicle systems to power down.

2. Test for less than 10 ohms between the ground circuit terminal 5 and ground.

If 10 ohms or greater

1. Ignition OFF.

2. Test for less than 2 ohms in the ground circuit end to end.

If 2 ohms or greater, repair the open/high resistance in the circuit.

If less than 2 ohms, repair the open/high resistance in the ground connection.

If less than 10 ohms

3. Ignition ON.

4. Verify a test lamp illuminates between the B+ circuit terminal 8.

If the test lamp does not illuminate and the circuit fuse is good

1. Ignition OFF.

2. Test for less than 2 ohms in the B+ circuit end to end.

If 2 ohms or greater, repair the open/high resistance in the circuit.

If less than 2 ohms, verify the fuse is not open and there is voltage at the fuse.

If the test lamp does not illuminate and the circuit fuse is open

1. Ignition OFF.

2. Test for infinite resistance between the B+ circuit and ground.

If less than infinite resistance, repair the short to ground on the circuit.

If infinite resistance, replace the rear S79 window switch

If the test lamp illuminates

5. Test for 5-10 V between the serial data circuit terminal 1 and ground.

If less than 5 V

1. Ignition OFF, disconnect the harness connector at the K9 body control module.

2. Test for infinite resistance between the serial data circuit and ground.

If less than infinite resistance, repair the short to ground on the circuit.

If infinite resistance

3. Test for less than 2 ohms in the serial data circuit end to end.

If 2 ohms or greater, repair the open/high resistance on the circuit.

If less than 2 ohms, replace the K9 body control module.

If greater than 10 V

1. Ignition OFF, disconnect the harness connector at the K9 body control module, ignition ON.

2. Test for less than 1 V between the serial data signal circuit and ground.

If 1 V or greater, repair the short to voltage on the circuit.

If less than 1 V, replace the K9 body control module

If between 5-10 V

6. Ignition OFF, connect the harness connector at the rear S79 window switch and disconnect the harness connector at the rear M74 window motor.

7. Test for less than 5 ohms between the control circuit terminal A and ground.

If 5 ohms or greater

1. Ignition OFF, disconnect the harness connector at the rear S79 window switch.

2. Test for less than 2 ohms in the control circuit end to end.

If 2 ohms or greater, repair the open/high resistance in the circuit.

If less than 2 ohms, replace the rear S79 window switch.

If less than 5 ohms

8. Test for less than 5 ohms between the control circuit terminal B and ground.

If 5 ohms or greater

1. Ignition OFF, disconnect the harness connector at the rear S79 window switch.

2. Test for less than 2 ohms in the control circuit end to end.

If 2 ohms or greater, repair the open/high resistance in the circuit.

If less than 2 ohms, replace the rear S79 window switch.

If less than 5 ohms

9. Connect a test lamp between the control circuit terminal A and control circuit terminal B, ignition ON.

10. Verify the test lamp turns ON when commanding the UP and DOWN states with the rear S79 window switch.

If the test lamp remains OFF during either of the commands

1. Ignition OFF, disconnect the harness connector at the rear S79 window switch.

2. Test for infinite resistance between each control circuit and ground.

If less than infinite resistance, repair the short to ground on the circuit.

If infinite resistance, replace the rear S79 window switch.

If the test lamp turns ON during each of the commands

11. Test or replace the rear M74 window motor.

Component Testing

Rear Window Motor

1. Ignition OFF, disconnect the harness connector at the appropriate rear M74 window motor.

2. Install a 25 A fused jumper wire between one of the control terminals and 12 V. Momentarily install a jumper wire between the other control terminal and ground. Reverse the jumper wires at least two times, the rear M74 window motor should perform the UP and DOWN functions.

If the function does not perform the UP and DOWN functions
Replace the rear M74 window motor.

If the function performs the UP and DOWN functions

3. All OK

Repair Instructions

Perform the Diagnostic Repair Verification Verification Tests after completing the diagnostic procedure.

* Front Side Door Window and Multifunction Switch Replacement Front Side Door Window and Multifunction Switch Replacement

* Rear Side Door Window Switch Replacement Rear Side Door Window Switch Replacement

* Front Side Door Window Regulator Motor Replacement Service and Repair

* Rear Side Door Window Regulator Motor Replacement Service and Repair