Operation CHARM: Car repair manuals for everyone.
Manuals through 2025 now available!

Our trusted friends have launched a new website named LEMON, which has newer manuals. It also contains all the CHARM manuals.

LEMON is the spiritual successor to CHARM, I recommend you try it!

Link: lemon-manuals.la or lemon-manuals.org.ua

(Some people have issue connecting. LEMON is investigating. For now, use Firefox or change your DNS server)

Or, hide this message: temporarily or permanently

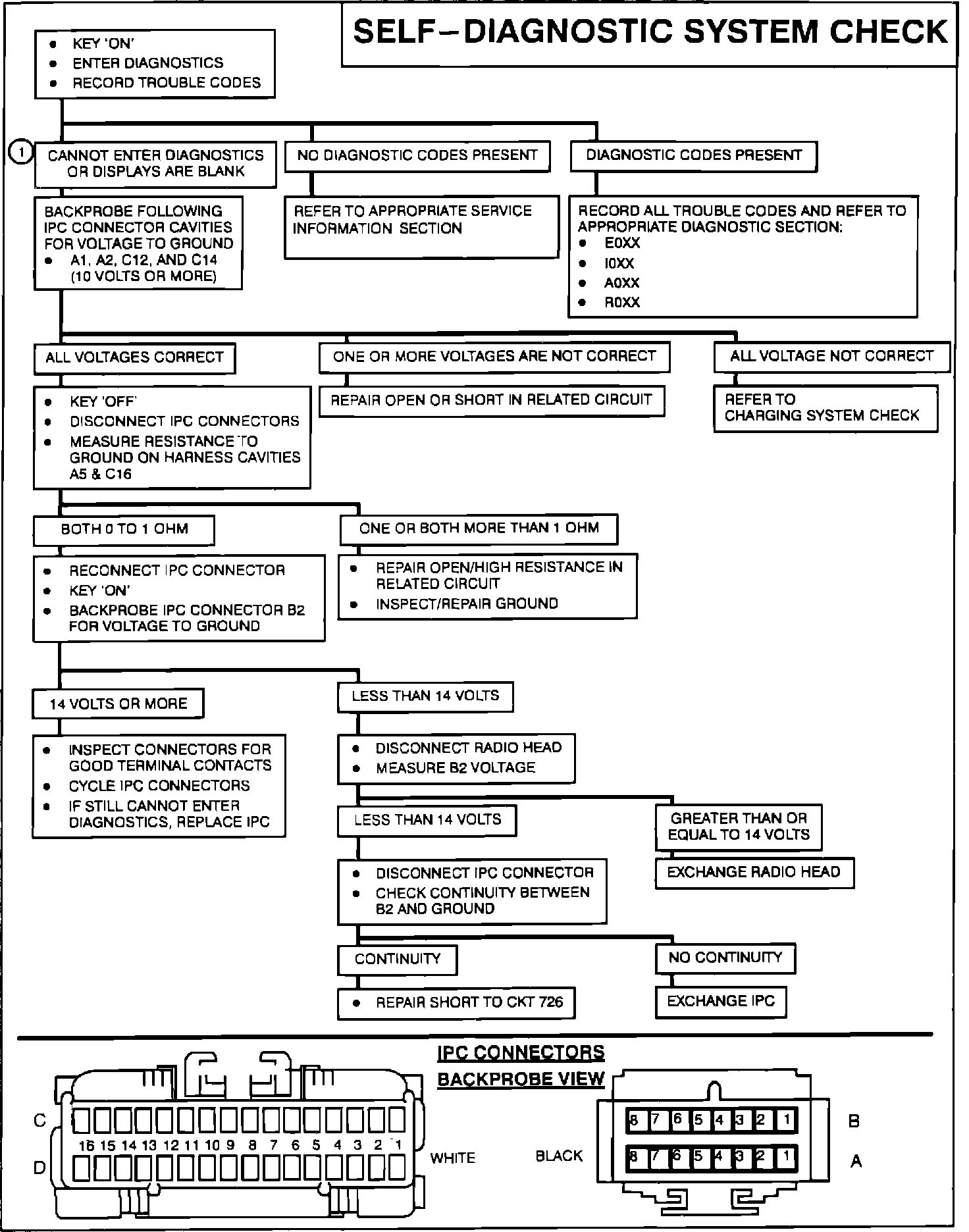
Diagnostic Circuit Check

Diagnostic Chart.:




Diagnostic Flow Diagram:







The diagnostic circuit check is an organized approach to identifying a problem created by an electronic engine control or Computerized Engine Control (CEC) system malfunction. This is the starting point for any driveability complaint diagnosis because it directs the service technician to the next logical diagnostic step. Understanding the chart and using it correctly will reduce diagnostic time and prevent the unnecessary replacement of good parts.


If you are reasonably certain that the problem is powertrain related, the best place to start is with the PFI SYSTEM CHECK.

If you are unsure whether the problem is powertrain related, you may want to start with the Diagnostic Flow Diagram or On-board diagnostics to see is testing will lead you to other systems.