Operation CHARM: Car repair manuals for everyone.
Manuals through 2025 now available!

Our trusted friends have launched a new website named LEMON, which has newer manuals. It also contains all the CHARM manuals.

LEMON is the spiritual successor to CHARM, I recommend you try it!

Link: lemon-manuals.la or lemon-manuals.org.ua

(Some people have issue connecting. LEMON is investigating. For now, use Firefox or change your DNS server)

Or, hide this message: temporarily or permanently

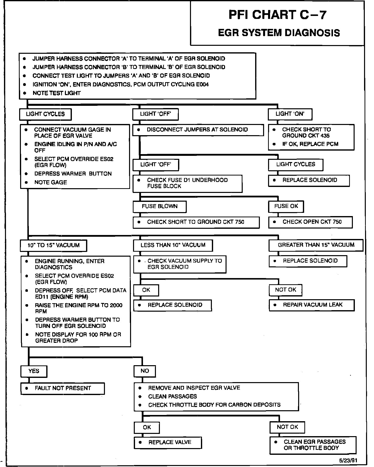
Exhaust Gas Recirculation: Testing and Inspection

EGR Diagnostic Chart:




Wiring Diagram:






TEST DESCRIPTION

This engine uses a positive backpressure EGR valve which limits EGR flow with low exhaust backpressure (idle, decel, etc.). It is very important that shop exhaust tubes which decrease backpressure (pull air through) are not hooked to the vehicle when diagnosing the EGR system.

^ Check fuse D1 in underhood fuse block.

^ Measure EGR solenoid resistance. It should be 20 to 100 ohms.

VACUUM TEST

1. Connect a vacuum gauge to the source side of the EGR solenoid. Start the engine, manifold vacuum should be present. If it is not, repair leaks or obstruction between the EGR solenoid and throttle body.

2. Connect a vacuum gauge to the EGR valve vacuum supply. There should be no vacuum with the engine idling. If there is, follow chart C-7 above.

3. With the gauge hooked to the EGR valve vacuum supply, disconnect the EGR solenoid connector. There should be more than 15 inches of vacuum available. If not, repair leak or obstruction in EGR valve vacuum hose.


NOTES ON INTERMITTENTS

^ Check vacuum supply hoses for leaks, restrictions, and obstructions. Clean out or replace as necessary.

^ Check intake manifold passages for any obstructions that would prevent exhaust gases from passing through.