Operation CHARM: Car repair manuals for everyone.
Manuals through 2025 now available!

Our trusted friends have launched a new website named LEMON, which has newer manuals. It also contains all the CHARM manuals.

LEMON is the spiritual successor to CHARM, I recommend you try it!

Link: lemon-manuals.la or lemon-manuals.org.ua

(Some people have issue connecting. LEMON is investigating. For now, use Firefox or change your DNS server)

Or, hide this message: temporarily or permanently

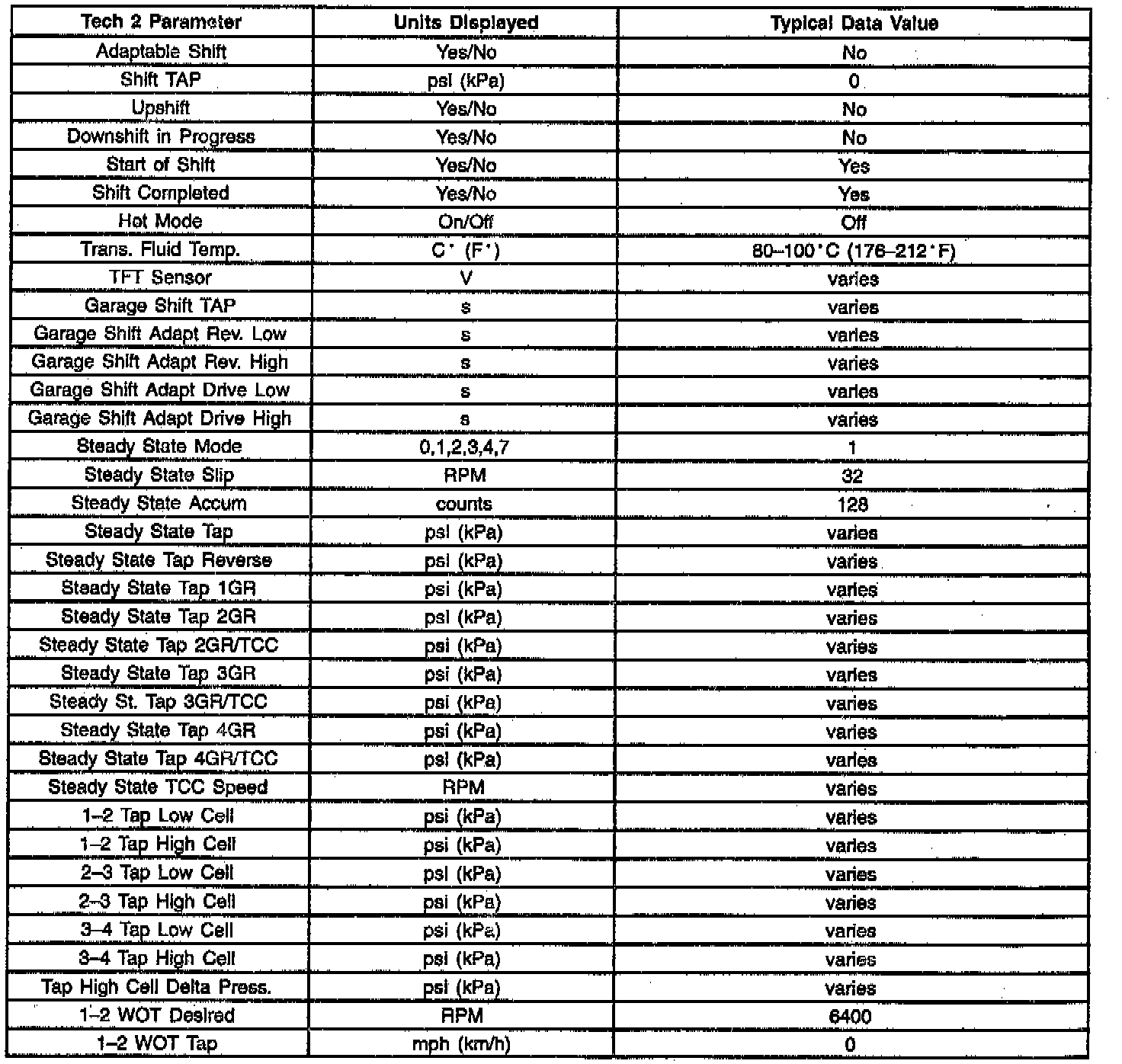
Tech 2 Scan Tool Data Values - Examples

Tech 2 Transmission Data 1 Value Examples Part 1 Of 2:




Tech 2 Transmission Data 1 Value Examples Part 2 Of 2:




Tech 2 Transmission Data 2 Value Examples Part 1 Of 2:




Tech 2 Transmission Data 2 Value Examples Part 2 Of 2:




Tech 2 Transmission Data 3 Value Examples:






If you have completed the On-Board Diagnostic (OBD) system check, if the diagnostics are functioning properly and if no DTCs display, you may use the Typical Scan Values in the table for comparison within the appropriate transmission. These typical values are an average of display values recorded from normally operating vehicles. They represent the display from a normally functioning system.

You should never use a scan tool that displays faulty data. The problem should be reported to the manufacturer. The use of a faulty scan tool can result in misdiagnosis and the unnecessary replacement of parts.

Only the parameters listed below are used for diagnosing. If a scan tool displays other parameters, the values are not recommended by the manufacturer for use in diagnosis.

Scan tests are performed under the following conditions:
- Idle
- Upper radiator hose is hot
- Closed throttle
- Accessories OFF
- Brake not applied