Operation CHARM: Car repair manuals for everyone.
Manuals through 2025 now available!

Our trusted friends have launched a new website named LEMON, which has newer manuals. It also contains all the CHARM manuals.

LEMON is the spiritual successor to CHARM, I recommend you try it!

Link: lemon-manuals.la or lemon-manuals.org.ua

(Some people have issue connecting. LEMON is investigating. For now, use Firefox or change your DNS server)

Or, hide this message: temporarily or permanently

Thread Repair Specifications

THREAD REPAIR SPECIFICATIONS





Left Cylinder Head Camshaft Cover Face








Left Cylinder Head Camshaft Cover Face





Left Cylinder Head Front Face





Left Cylinder Head Front Face





Left Cylinder Head Intake Face





Left Cylinder Head Intake Face





Left Cylinder Head Exhaust Face





Left Cylinder Head Exhaust Face





Left Cylinder Head Rear Face





Left Cylinder Head Rear Face





Right Cylinder Head Camshaft Cover Face








Right Cylinder Head Camshaft Cover Face





Right Cylinder Head Front Face





Right Cylinder Head Front Face





Right Cylinder Head Intake Face





Right Cylinder Head Intake Face





Right Cylinder Head Exhaust Face





Right Cylinder Head Exhaust Face





Right Cylinder Head Rear Face





Right Cylinder Head Rear Face





Engine Block Front








Engine Block Front





Engine Block Left Side





Engine Block Left Side





Engine Block Right Side





Engine Block Right Side





Engine Block Rear








Engine Block Rear





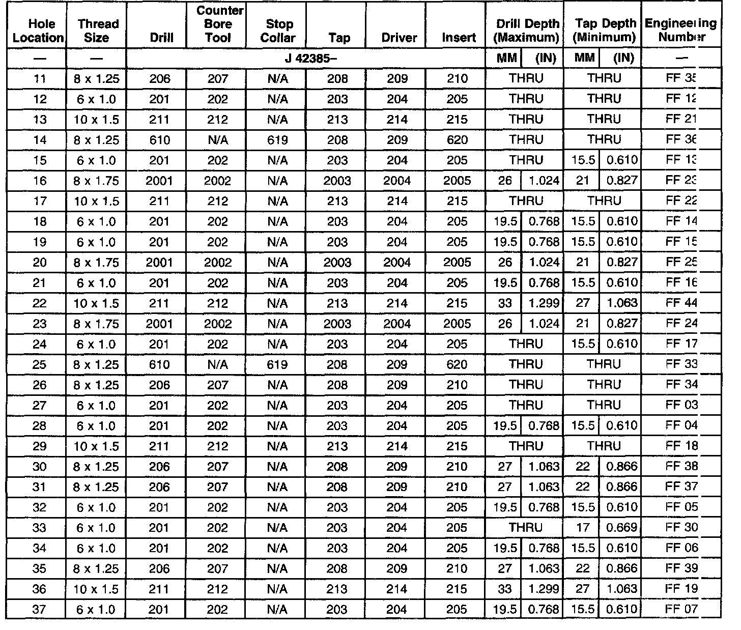
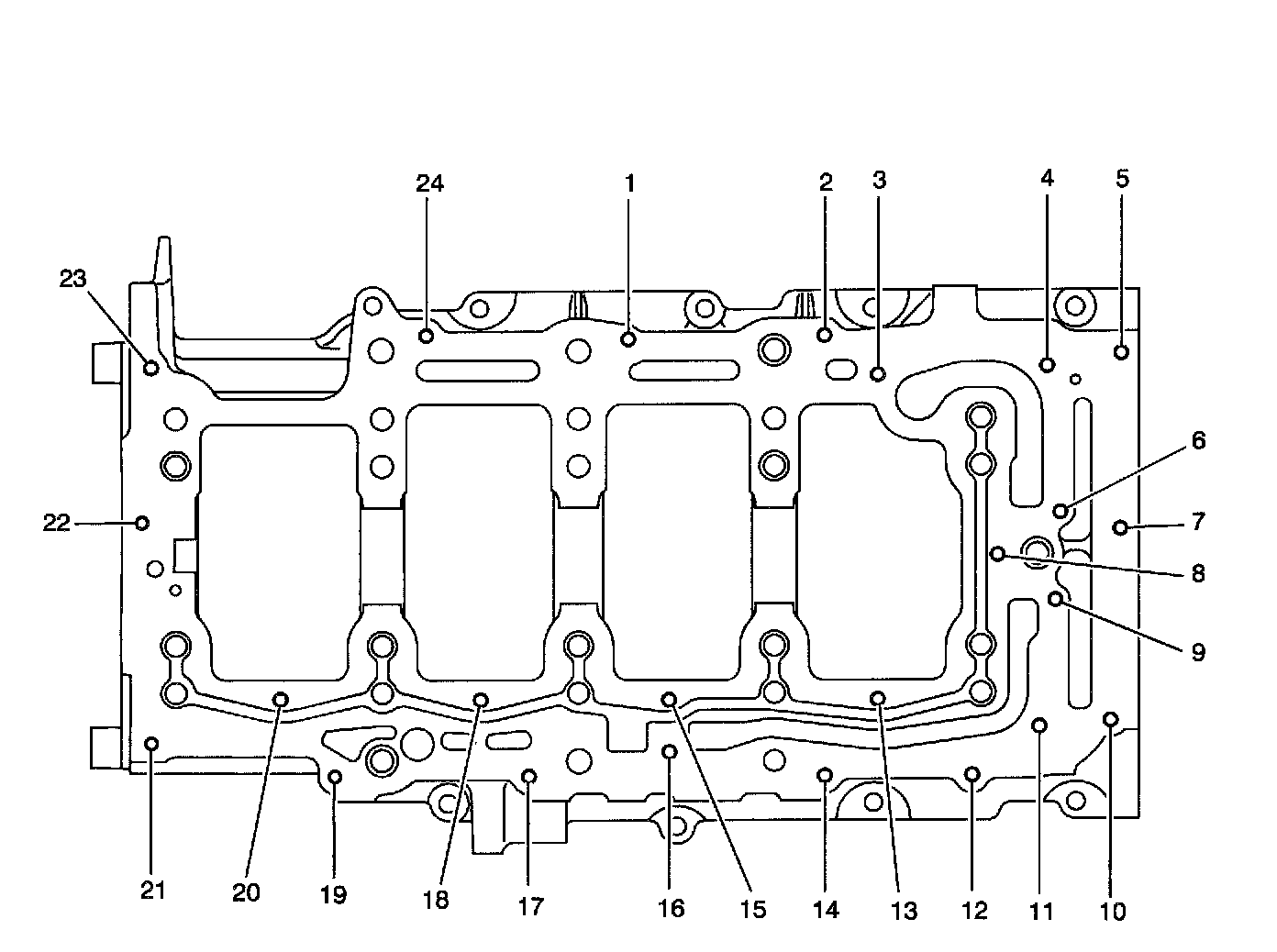
Engine Block Top





Engine Block Top





Engine Block Left Deck Face





Engine Block Left Deck Face





Engine Block Right Deck Face





Engine Block Right Deck Face





Engine Block Lower Face








Engine Block Lower Face





Lower Crankcase Pan Face








Lower Crankcase Pan Face