Operation CHARM: Car repair manuals for everyone.
Manuals through 2025 now available!

Our trusted friends have launched a new website named LEMON, which has newer manuals. It also contains all the CHARM manuals.

LEMON is the spiritual successor to CHARM, I recommend you try it!

Link: lemon-manuals.la or lemon-manuals.org.ua

(Some people have issue connecting. LEMON is investigating. For now, use Firefox or change your DNS server)

Or, hide this message: temporarily or permanently

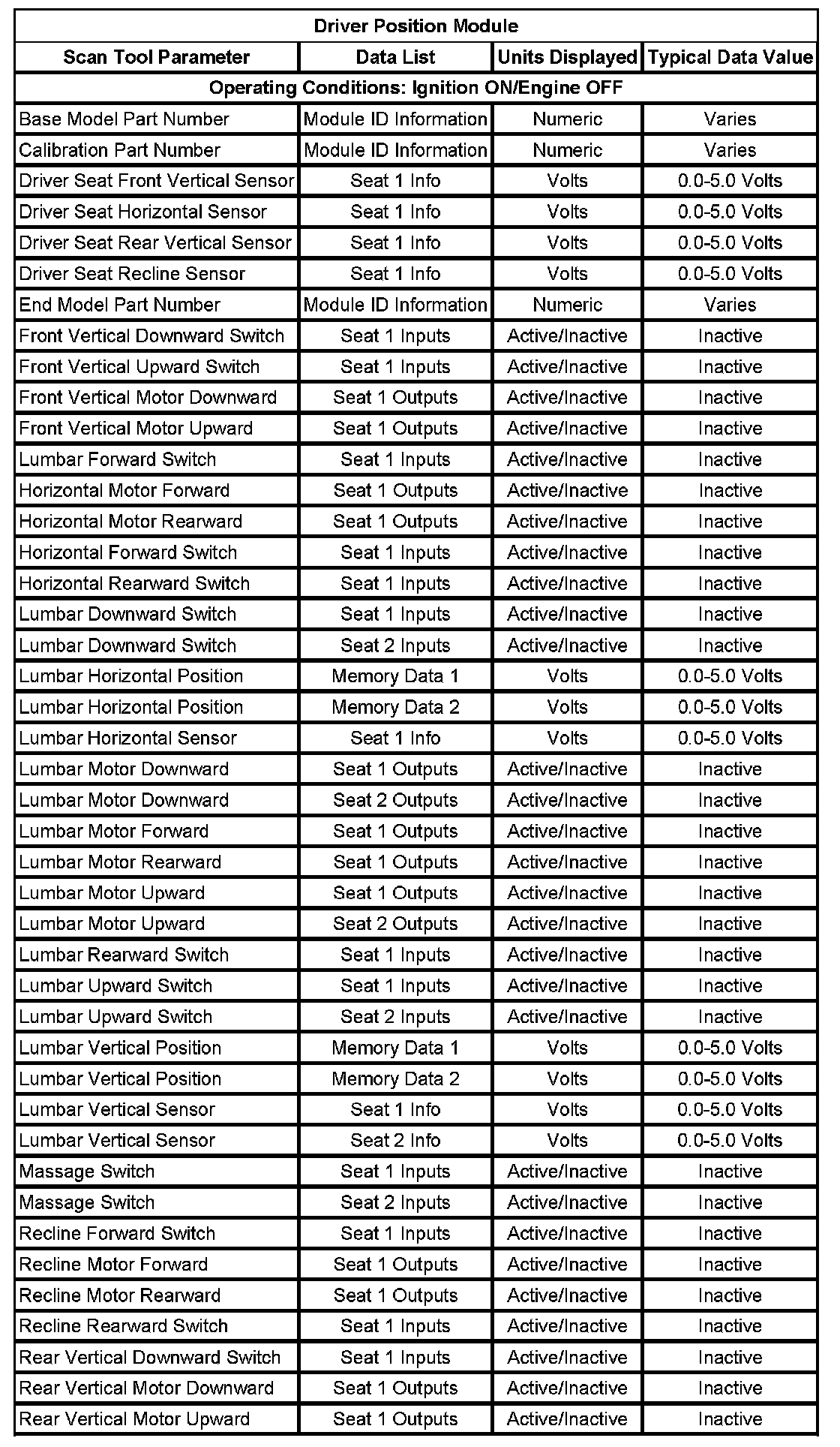
Scan Tool Data List



Scan Tool Data List










The scan tool data list contains all the power seat system related parameters that are available on the scan tool. The parameters in the list are arranged in alphabetical order. The column, Data List, indicates the location of the parameter within the scan tool menu selections.

The typical data values are obtained from a properly operating vehicle under the conditions specified in the second row of the scan tool data list table. Comparison of the parameter values from the suspect vehicle with the typical data values may reveal the source of the customer concern.