Operation CHARM: Car repair manuals for everyone.
Manuals through 2025 now available!

Our trusted friends have launched a new website named LEMON, which has newer manuals. It also contains all the CHARM manuals.

LEMON is the spiritual successor to CHARM, I recommend you try it!

Link: lemon-manuals.la or lemon-manuals.org.ua

(Some people have issue connecting. LEMON is investigating. For now, use Firefox or change your DNS server)

Or, hide this message: temporarily or permanently

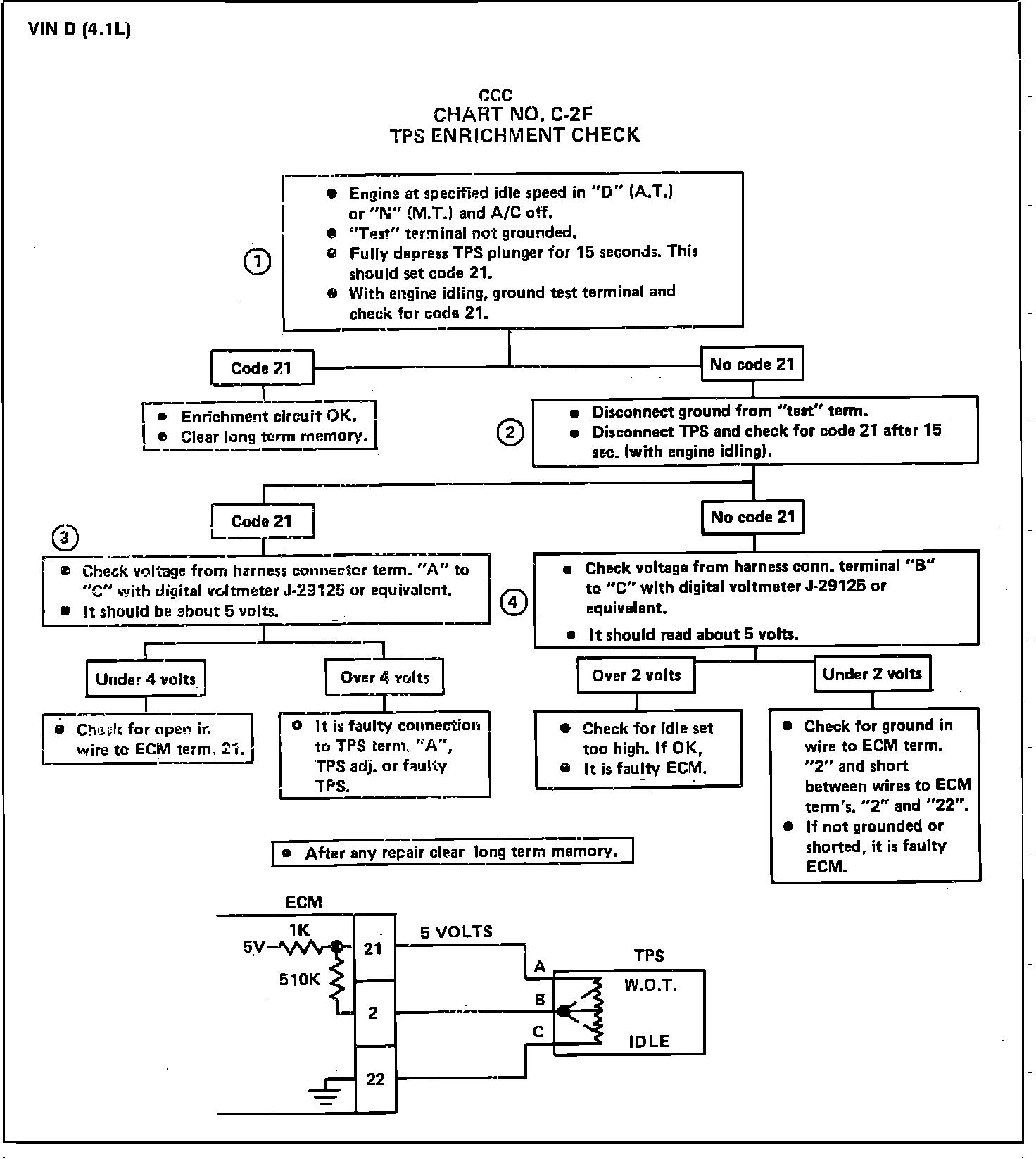
Throttle Position Sensor: Testing and Inspection

Chart C-2F - TPS Enrichment Check:




Wiring Diagram for Chart C-2F - TPS Enrichment Check:





CHART C-2F - TPS ENRICHMENT CHECK

Test Description:

1. This step checks that the TPS will cause an ECM "Rich" command when fully depressed manually. On some vehicles, this will cause a low dwell (full rich). On others it will not.

Code 21 should normally be set.

2. This step distinguishes between a faulty TPS or ECM harness/ECM.

Code 21 should normally be set, if engine RPM is not set above specifications.


3. This step checks for 5V. ref. at TPS. It should be about 5 volts. If loss of V. Ref were in the ECM, it should set Codes 21 and 34 since this is the same 5V to Vacuum Sensor. Therefore, it must be an open in the wire.


4. This step checks for a grounded circuit. Normal circuit should read about 5 volts. Checking for grounded TPS output to Terminal "2" of ECM, or short in wiring to Terminals "2" and "22" from TPS, indicates whether fault is in wiring or ECM. A voltmeter with a 10 megohms resistance must be used for an accurate reading.