Operation CHARM: Car repair manuals for everyone.
Manuals through 2025 now available!

Our trusted friends have launched a new website named LEMON, which has newer manuals. It also contains all the CHARM manuals.

LEMON is the spiritual successor to CHARM, I recommend you try it!

Link: lemon-manuals.la or lemon-manuals.org.ua

(Some people have issue connecting. LEMON is investigating. For now, use Firefox or change your DNS server)

Or, hide this message: temporarily or permanently

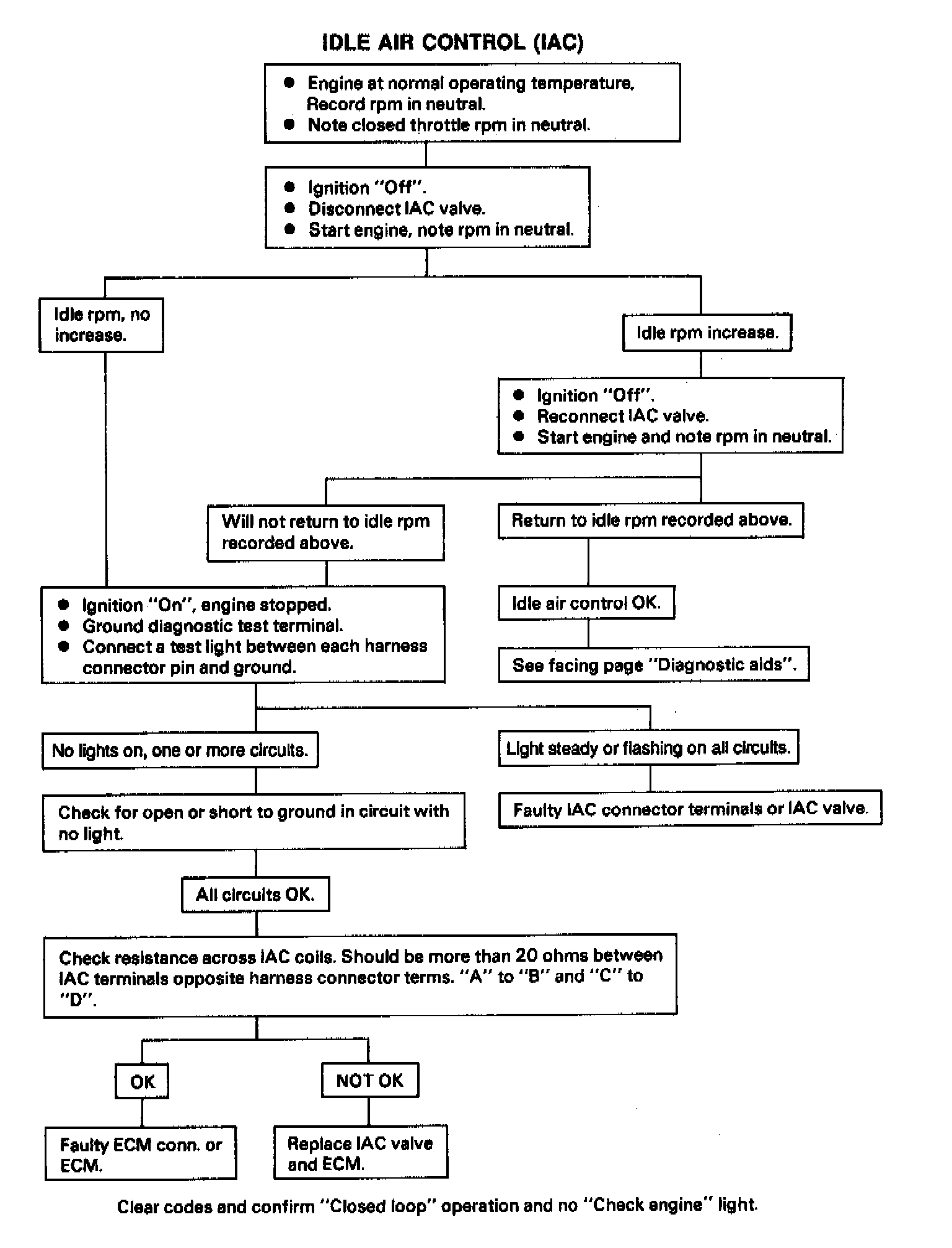
Component Tests and General Diagnostics









The ECM will control the engine idle speed by moving the IAC valve to control air flow around the throttle plate. It does this by sending voltage pulses to the proper motor winding for each IAC motor. This will cause the motor shaft and valve to move "IN" or "OUT" of the motor a given distance for each pulse received. ECM pulses are referred to as "counts".

^ To increase idle speed - ECM will send enough counts to retract the IAC valve and allow more air to flow through the idle air passage and bypass the throttle plate until idle speed reaches the proper RPM. This will increase the ECM counts.
^ To decrease idle speed - ECM will send enough counts to extend the IAC valve and reduce air flow through the idle passage around the throttle plate. This will reduce the number of ECM counts.

Each time the engine is started and then the ignition is turned "OFF", the ECM will reset the IAC valve. This is done by sending enough counts to seat the valve. The fully seated valve is the ECM zero reference. A given number of counts are then issued to open the valve, and normal ECM control of IAC will begin from this point. The number of counts needed to move the valve are then added or subtracted.This is how the ECM knows what the motor position is for a given idle speed.

The ECM uses the following information to control idle speed:

^ Battery voltage
^ Coolant temperature
^ Throttle position sensor
^ Engine speed
^ A/C clutch signal
^ Power steering pressure switch
^ Vehicle speed sensor

Don't apply battery voltage across the IAC motor terminals. It will permanently damage the IAC motor windings.

1. Be sure to disconnect the IAC valve prior to this test. The test light will confirm the ECM signals by a steady or flashing light, for all circuits.
2. Before replacing an ECM, be sure to check the resistance at the IAC motor windings. Failure to do so may result in a repeat ECM failure.
3. Diagnostic aids

Engine idle speed can be adversely affected by the following:

^ Leaking injector(s) will cause fuel imbalance and poor idle quality due to excess fuel.
^ Vacuum leaks can cause higher than normal idle.
^ When the throttle shaft or throttle position sensor is binding or sticking in an open throttle position, the ECM does not know if the vehicle has stopped and does not control idle.
^ Faulty battery cables can result in voltage variations. The ECM will try to compensate, which results in erratic idle speeds.
^ The ECM will compensate for A/C compressor clutch loads. Loss of this signal would be most apparent in neutral.
^ Power steering pressure switch - If the PCM thinks the pressure switch is closed the idle may be too high.