Operation CHARM: Car repair manuals for everyone.
Manuals through 2025 now available!

Our trusted friends have launched a new website named LEMON, which has newer manuals. It also contains all the CHARM manuals.

LEMON is the spiritual successor to CHARM, I recommend you try it!

Link: lemon-manuals.la or lemon-manuals.org.ua

(Some people have issue connecting. LEMON is investigating. For now, use Firefox or change your DNS server)

Or, hide this message: temporarily or permanently

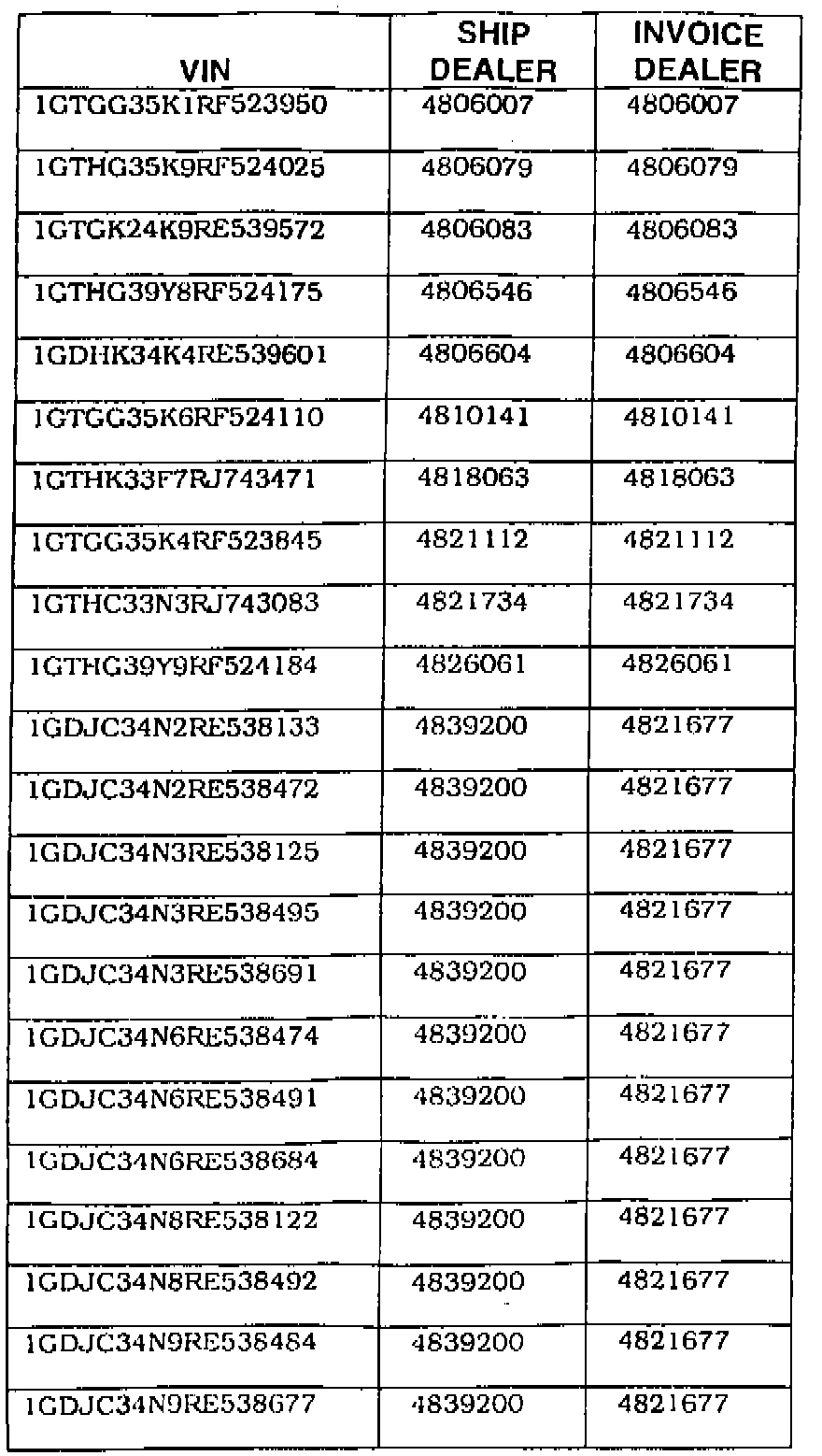
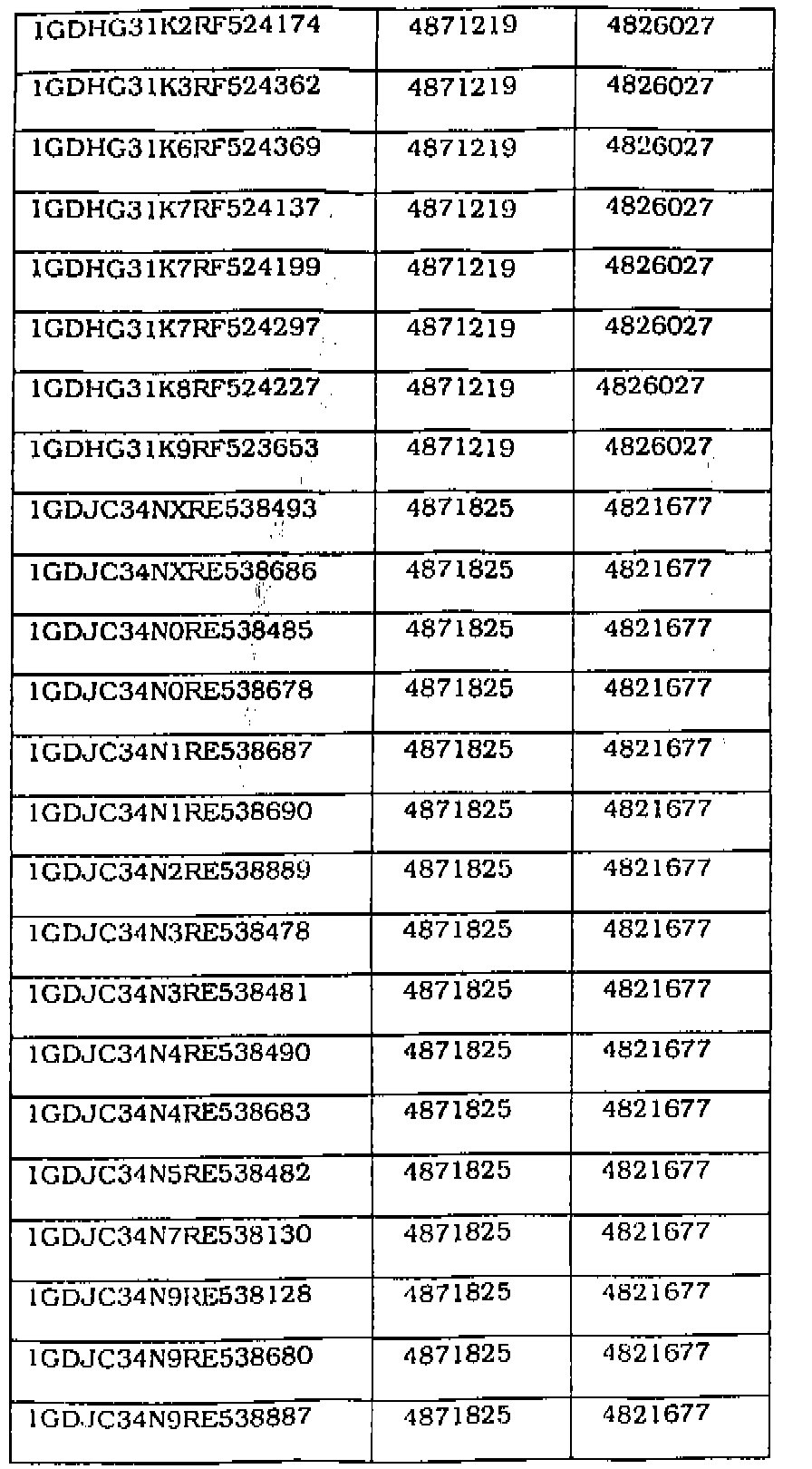
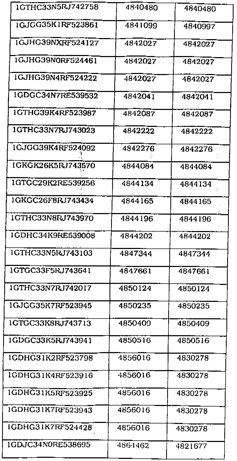
Vehicles Involved

















Involved are Certain 1994 C/K trucks and G Vans equipped with the 4L80-E/4L80-EHD automatic transmission (MT1) with build dates of 3-17-94 through 3-24-94. Dealer codes and vehicles involved are illustrated.