Idle/Throttle Speed Control Unit: Testing and Inspection
Idle Speed Control Actuator System:
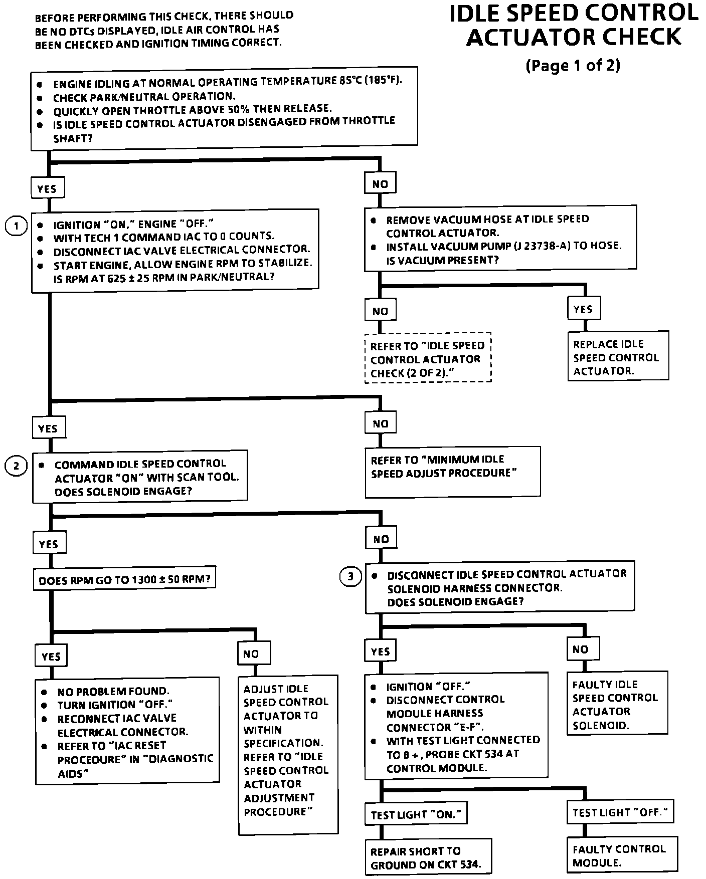
Idle Speed Control Actuator Check:
Idle Speed Control Actuator Check:
CIRCUIT DESCRIPTION:
The idle speed control actuator system assists the idle air control system in controlling the idle speed, primarily at cold temperatures. The idle speed control actuator is a vacuum operated device which opens the throttle slightly (2 to 3 degrees of angle) to increase the cold engine idle speed, to improve the mixing of the air and fuel, and to allow lower warmed up engine idle speeds. The idle speed control actuator is controlled by the idle speed control actuator solenoid, which is controlled by the control module. To increase the idle speed, the solenoid is turned OFF, and no vacuum is routed to the idle speed control actuator, allowing it to open the throttle slightly. To decrease the idle speed, the solenoid is turned ON, and vacuum is routed through the solenoid to the idle speed control actuator, allowing the throttle to fully close.
In conjunction with the idle speed control actuator system, the idle air control system continuously monitors and controls the engine idle speed to the desired idle speed. A Tech 1 scan tool will read the control module commands to the idle speed control actuator system.
CHART TEST DESCRIPTION: Numbers below refer to circled numbers on the diagnostic charts.
1. Checks to see if a vacuum source is present.
2. Checks to see if idle speed control actuator solenoid is commanded ON.
3. Checks for power to the solenoid, the ground circuit, the connections at the idle speed control actuator solenoid and the solenoid itself.
4. Checks to see cause of no vacuum source.
5. Checks idle speed control solenoid and connections.
6. Checks for open or grounded CKT 439.
7. Checks for open CKT 543 or faulty control module.
DIAGNOSTIC AIDS: Check all connections. If OK, check for intermittents.
- Disconnect battery terminal for 10 seconds, then reconnect terminal.
- Ignition ON, engine OFF for 5 seconds.
- Ignition OFF for 10 seconds.