Operation CHARM: Car repair manuals for everyone.
Manuals through 2025 now available!

Our trusted friends have launched a new website named LEMON, which has newer manuals. It also contains all the CHARM manuals.

LEMON is the spiritual successor to CHARM, I recommend you try it!

Link: lemon-manuals.la or lemon-manuals.org.ua

(Some people have issue connecting. LEMON is investigating. For now, use Firefox or change your DNS server)

Or, hide this message: temporarily or permanently

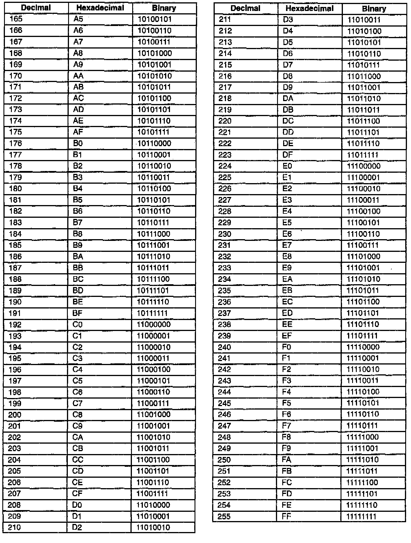
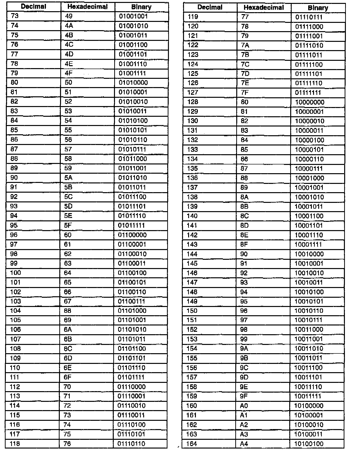
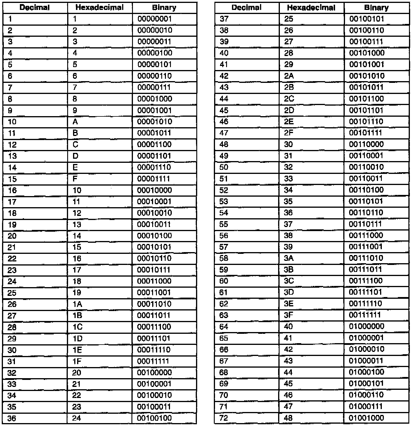
Generic Scan Tool Conversion Table

Decimal/Hexadecimal/Binary Conversion Table:




Decimal/Hexadecimal/Binary Conversion Table:




Decimal/Hexadecimal/Binary Conversion Table:






Beginning in 1996, Federal Regulations require that all auto manufacturers selling vehicles in the United States provide scan tool manufacturers with software information to display vehicle operating parameters. All scan tool manufacturers will display a variety of vehicle information which will aid in repairing the vehicle. Some scan tools will display encoded messages which will aid in determining the nature of the concern. This method of encoding involves the use of a two additional numbering systems: Binary and Hexadecimal.

The binary number system has a base of two numbers. Each digit is either a 0 or a 1. A binary number is an eight digit number and is read from right to left. Each digit has a position number with the farthest right being the 0 position and the farthest left being the 7 position.

The 0 position, when displayed by a 1, indicates 1 in decimal. Each position to the left is double the previous position and added to any other position values marked as a 1. Refer to the Decimal/Hexadecimal/Binary conversion table when using scan tools that display encoded messages.

The hexadecimal system is composed of 16 different alpha numeric characters. The alpha numeric characters used are numbers 0 through 9 and letters A through F. Refer to the Decimal/Hexadecimal/Binary conversion table when using scan tools that display encoded messages.

The hexadecimal system is the most natural and common approach for scan tool manufacturers to display data represented by binary numbers and digital code.