Operation CHARM: Car repair manuals for everyone.
Manuals through 2025 now available!

Our trusted friends have launched a new website named LEMON, which has newer manuals. It also contains all the CHARM manuals.

LEMON is the spiritual successor to CHARM, I recommend you try it!

Link: lemon-manuals.la or lemon-manuals.org.ua

(Some people have issue connecting. LEMON is investigating. For now, use Firefox or change your DNS server)

Or, hide this message: temporarily or permanently

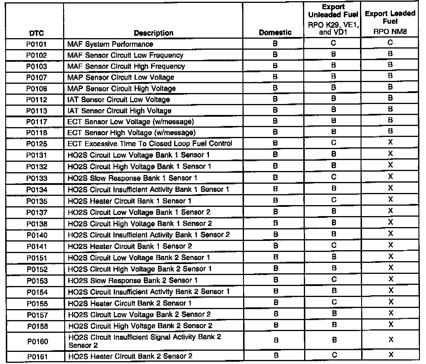
DTC List

Diagnostic Trouble Code (DTC) Type Table (Part 1 Of 4):




Diagnostic Trouble Code (DTC) Type Table (Part 2 Of 4):




Diagnostic Trouble Code (DTC) Type Table (Part 3 Of 4):




Diagnostic Trouble Code (DTC) Type Table (Part 4 Of 4):




The service information contained in this manual refers to the Federal calibration package. The export change is NOT reflected in the service information on the DTC's diagnostic support information page or in the Repair Instructions. The DTC Type table information refers to domestic and Export calibration packages. Export vehicles may have differences in DTC types that will affect Malfunction Indicator Lamp (MIL) operation. Certain DTCs have been changed from type A to type C or, in some cases, type x. When a type A diagnostic fails, a DTC is set immediately and the Malfunction Indicator Lamp (MIL) is illuminated. When a type B DTC diagnostic fails, the Malfunction Indicator Lamp (MIL) will illuminate if the fault is present after two consecutive drive trips. A type C DTC will set after one failure and be stored in history but will not illuminate the Malfunction Indicator Lamp (MIL). For certain DTCs, a message will also appear on the Driver Information Center (DIC).

Type X DTCs have been turned off (the diagnostic does not run, no codes are stored, and the Malfunction Indicator Lamp (MIL) will not illuminate.

If a system is malfunctioning and the associated DTC has been disabled (Type X), it may be beneficial to use the diagnostic table as a guide to aid in diagnosis. Many of the DTC tables include a functional check of the system that may pinpoint a condition. However, it is important to remember that the DTC tables are specifically designed for use only when a DTC is set. Therefore, a thorough understanding of the normal operation of the system being diagnosed is necessary and use of the tables for this purpose is at the discretion of the technician.

IMPORTANT:
^ An export vehicle may have unrequired emissions components removed.
^ For Automatic Transmission DTC types, refer to Diagnostic Trouble Code Identification.