Operation CHARM: Car repair manuals for everyone.
Manuals through 2025 now available!

Our trusted friends have launched a new website named LEMON, which has newer manuals. It also contains all the CHARM manuals.

LEMON is the spiritual successor to CHARM, I recommend you try it!

Link: lemon-manuals.la or lemon-manuals.org.ua

(Some people have issue connecting. LEMON is investigating. For now, use Firefox or change your DNS server)

Or, hide this message: temporarily or permanently

Engine Cranks But Does Not Run

ENGINE CRANKS BUT DOES NOT RUN

DESCRIPTION
The Engine Cranks but Does Not Run diagnostic table is an organized approach to identifying a condition that causes an engine to not start. The diagnostic table directs the service technician to the appropriate system diagnosis. The diagnostic table assumes the following conditions are met:
- The battery is completely charged.
- The cranking speed is acceptable.
- There is adequate fuel in the fuel tank.

TEST

Steps 1-5:




Steps 6-8:




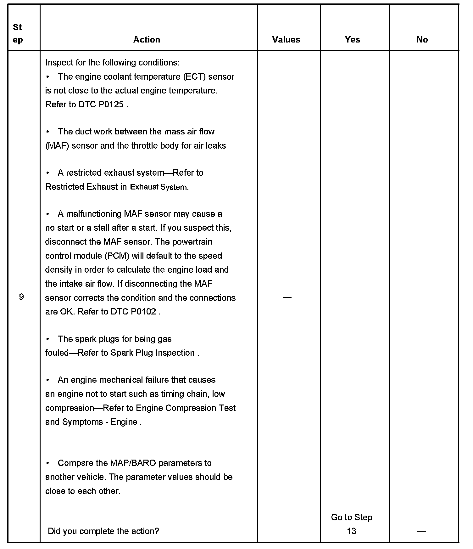
Step 9:




Steps 10-14: