Operation CHARM: Car repair manuals for everyone.
Manuals through 2025 now available!

Our trusted friends have launched a new website named LEMON, which has newer manuals. It also contains all the CHARM manuals.

LEMON is the spiritual successor to CHARM, I recommend you try it!

Link: lemon-manuals.la or lemon-manuals.org.ua

(Some people have issue connecting. LEMON is investigating. For now, use Firefox or change your DNS server)

Or, hide this message: temporarily or permanently

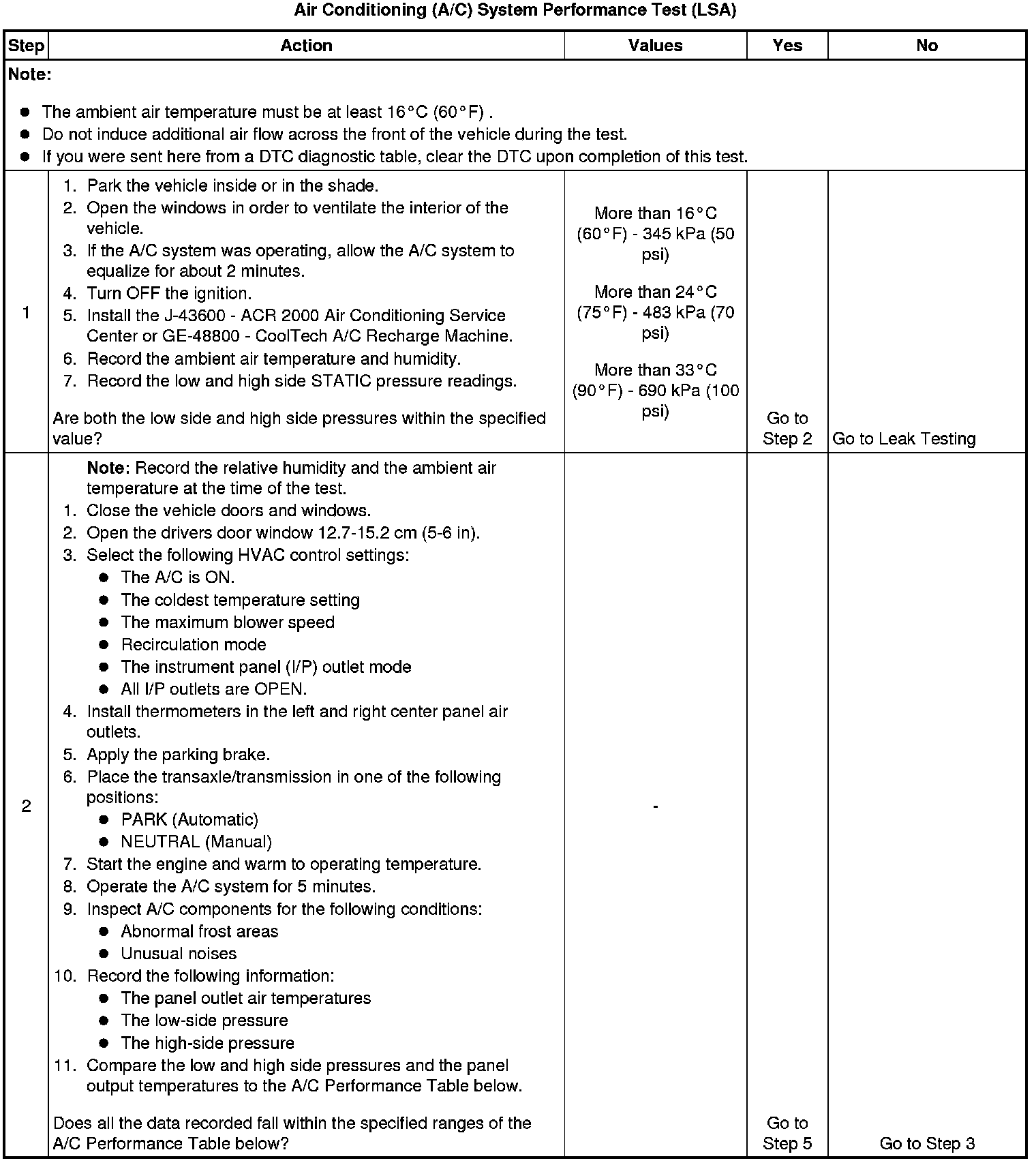
Air Conditioning (A/C) System Performance Test




Air Conditioning (A/C) System Performance Test (LSA)

This test measures the operating efficiency of the A/C system under the following conditions:

* The current ambient air temperature

* The current relative humidity

* The high side pressure of the A/C system

* The low side pressure of the A/C system

* The temperature of the air being discharged into the passenger compartment

Test Description

The numbers below refer to the step numbers on the diagnostic table.

1. This step determines if the A/C system has at least the minimum refrigerant charge required to operate the system without damage.

2. This step measures the performance of the A/C system.

3. This step is to allow for vehicle variations as well as high ambient temperatures.