Operation CHARM: Car repair manuals for everyone.
Manuals through 2025 now available!

Our trusted friends have launched a new website named LEMON, which has newer manuals. It also contains all the CHARM manuals.

LEMON is the spiritual successor to CHARM, I recommend you try it!

Link: lemon-manuals.la or lemon-manuals.org.ua

(Some people have issue connecting. LEMON is investigating. For now, use Firefox or change your DNS server)

Or, hide this message: temporarily or permanently

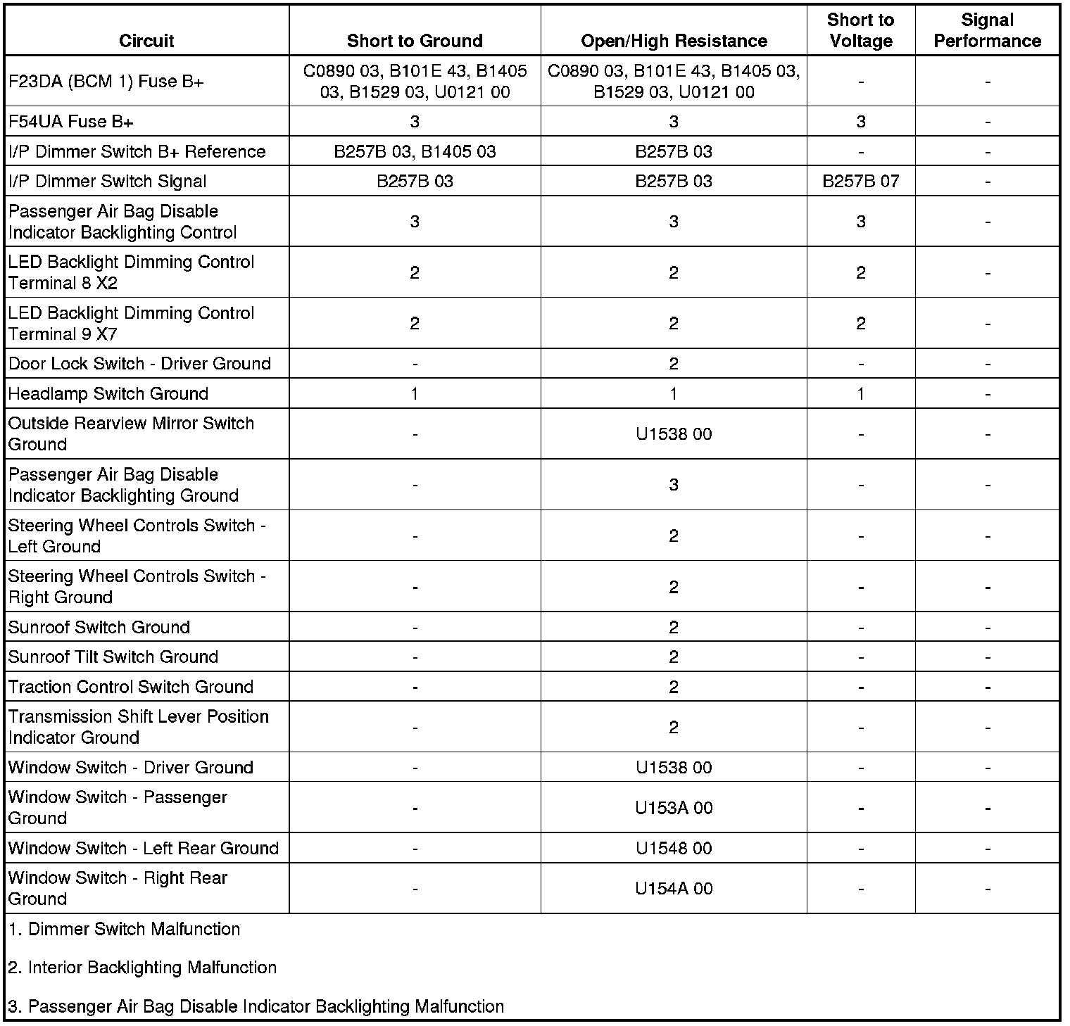
Interior Backlighting Malfunction




Interior Backlighting Malfunction

Diagnostic Instructions

* Perform the Diagnostic System Check - Vehicle Diagnostic System Check - Vehicle prior to using this diagnostic procedure.

* Review Strategy Based Diagnosis Strategy Based Diagnosis for an overview of the diagnostic approach.

* Diagnostic Procedure Instructions Diagnostic Procedure Instructions provides an overview of each diagnostic category.

Diagnostic Fault Information






Circuit/System Description

The instrument panel (I/P) dimmer switch is used to increase and decrease the brightness of the interior backlighting components. The I/P dimmer switch provides a voltage signal to the body control module (BCM) that will increase as the brightness of the lights are increased and decrease as the brightness of the lights are decreased. The BCM provides a low reference signal and a B+ voltage reference to the I/P dimmer switch. When the I/P dimmer switch is placed in the desired position, the dimmed voltage setting is applied from the I/P dimmer switch through the I/P dimmer switch signal circuit to the BCM. The BCM interprets the signal and applies a pulse width modulated (PWM) voltage through the light emitting diode (LED) dimming 1 and dimming 2 control circuits illuminating the interior backlighting to the requested level of brightness.

Reference Information

Schematic Reference

Interior Lights Dimming Schematics Interior Lights Dimming Schematics

Connector End View Reference

Component Connector End Views Sunshade - Left (D61)

Description and Operation

Interior Lighting Systems Description and Operation Interior Lighting Systems

Electrical Information Reference

* Circuit Testing Circuit Testing

* Connector Repairs Connector Repairs

* Testing for Intermittent Conditions and Poor Connections Testing for Intermittent Conditions and Poor Connections

* Wiring Repairs Wiring Repairs

Scan Tool Reference

Control Module References Control Module References for scan tool information

Circuit/System Verification

1. Ignition ON.

2. Verify the scan tool LED Backlight Dimming Command parameter changes between a high percentage to a low percentage while operating the dimmer switch from high to low.

If the parameter does not change
Refer to Dimmer Switch Malfunction.

If the parameter changes

3. Verify the backlighting components turn ON and OFF while commanding the LED Backlight Dimming ON and OFF with a scan tool.

If the backlighting components do not turn ON and OFF
Refer to Interior Backlighting Malfunction.

If the backlighting components turn ON and OFF

4. Verify the phrase PASSENGER AIR BAG is illuminated on the Passenger Air Bag Disable Indicator.

If the phrase PASSENGER AIR BAG is not illuminated
Refer to Passenger Air Bag Disable Indicator Backlighting Malfunction.

If the phrase PASSENGER AIR BAG is illuminated

5. All OK.

Circuit/System Testing

Dimmer Switch Malfunction

1. Ignition OFF and all vehicle systems OFF, disconnect the harness connector at the S30 headlamp switch, ignition ON.

2. Test for B+ between the B+ circuit terminal 1 and ground.

If less than B+

1. Ignition OFF, disconnect the X3 harness connector at the K9 body control module.

2. Test for infinite resistance between the B+ circuit and ground.

If less than infinite resistance, repair the short to ground on the circuit.

If infinite resistance

3. Test for less than 2 ohms in the B+ circuit end to end.

If 2 ohms or greater, repair the open/high resistance in the circuit.

If less than 2 ohms, replace the K9 body control module.

If B+

3. Verify the scan tool LED Backlight Dimming Command parameter is greater than 40%.

If 40% or less

1. Ignition OFF, disconnect the X1 harness connector at the K9 body control module, ignition ON.

2. Test for less than 1 V between the signal circuit terminal 12 and ground.

If 1 V or greater, repair the short to voltage on the circuit.

If less than 1 V, replace the K9 body control module.

If greater than 40%

4. Install a 3 A fused jumper wire between the signal circuit terminal 12 and the B+ circuit terminal 1.

5. Verify the scan tool LED Backlight Dimming Command parameter is less than 30%.

If 30% or greater

1. Ignition OFF, disconnect the X1 harness connector at the K9 body control module.

2. Test for infinite resistance between the signal circuit and ground.

If less than infinite resistance, repair the short to ground on the circuit.

If infinite resistance

3. Test for less than 2 ohms in the signal circuit end to end.

If 2 ohms or greater, repair the open/high resistance in the circuit.

If less than 2 ohms, replace the K9 body control module.

If less than 30%

6. Test or replace the S30 headlamp switch.

Interior Backlighting Malfunction

Note: Each component with backlighting may need to be disconnected to isolate a short to voltage or short to ground. Use the schematics to identify the following:

* Backlighting components the vehicle is equipped with

* Each component's control and ground circuit terminals

* Component locations on the backlighting control circuit

1. Ignition OFF, scan tool disconnected, all doors closed, all accessories OFF, disconnect the harness connector at the component with inoperative backlighting. It may take up to 2 minutes for all vehicle systems to power down.

2. Test for less than 5 ohms between the appropriate ground circuit terminal listed below and ground.

* S75 traction control switch - terminal 4

* S30 headlamp switch - terminal 6

* S13D door lock switch - driver - terminal 1

* P2 transmission shift lever position indicator - terminal B

* S70R steering wheel controls switch - right - terminal 5

* S70L steering wheel controls switch - left - terminal 7

* S72 sunroof switch - terminal 3

* S88 sunroof tilt switch - terminal 3

* S52 outside rearview mirror switch - terminal 5

If 5 ohms or greater

1. Ignition OFF.

2. Test for less than 2 ohms in the ground circuit end to end.

If 2 ohms or greater, repair the open/high resistance in the circuit.

If less than 2 ohms, repair the open/high resistance in the ground connection.

If less than 5 ohms

3. Connect a test lamp between the appropriate control circuit terminal listed below and ground.

* S75 traction control switch - terminal 3

* S30 headlamp switch - terminal 7

* S13D door lock switch - driver - terminal 2

* P2 transmission shift lever position indicator - terminal A

* S70R steering wheel controls switch - right - terminal 4

* S70L steering wheel controls switch - left - terminal 6

* S72 sunroof switch - terminal 2

* S88 sunroof tilt switch - terminal 2

* S52 outside rearview mirror switch - terminal 10

4. Verify the test lamp turns ON and OFF when commanding the LED Backlight Dimming ON and OFF with a scan tool.

If the test lamp is always OFF

1. Ignition OFF, disconnect the appropriate harness connector at the K9 body control module.

2. Test for infinite resistance between the control circuit and ground.

If less than infinite resistance, repair the short to ground on the circuit.

If infinite resistance

3. Test for less than 2 ohms in the control circuit end to end.

If 2 ohms or greater, repair the open/high resistance in the circuit.

If less than 2 ohms, replace the K9 body control module.

If the test lamp is always ON

1. Ignition OFF, disconnect the appropriate harness connector at the K9 body control module, ignition ON.

2. Test for less than 1 V between the control circuit terminal and ground.

If 1 V or greater, repair the short to voltage on the circuit.

If less than 1 V, replace the K9 body control module.

If the test lamp turns ON and OFF

5. Test or replace the component with inoperative backlighting.

Passenger Air Bag Disable Indicator Backlighting Malfunction

1. Ignition OFF, scan tool disconnected, all doors closed, all accessories OFF, disconnect the harness connector at the P14 passenger air bag disable indicator. It may take up to 2 minutes for all vehicle systems to power down.

2. Test for less than 5 ohms between the ground circuit terminal 3 and ground.

If 5 ohms or greater

1. Ignition OFF.

2. Test for less than 2 ohms in the ground circuit end to end.

If 2 ohms or greater, repair the open/high resistance in the circuit.

If less than 2 ohms, repair the open/high resistance in the ground connection.

If less than 5 ohms

3. Connect a test lamp between the control circuit terminal 1 and ground.

4. Verify the test lamp turns ON and OFF while turning the ignition switch ON and OFF.

If the test lamp is always OFF

1. Ignition OFF, disconnect the X2 harness connector at the X50A fuse block - underhood.

2. Test for infinite resistance between the control circuit and ground.

If less than infinite resistance, repair the short to ground on the circuit.

If infinite resistance

3. Test for less than 2 ohms in the control circuit end to end.

If 2 ohms or greater, repair the open/high resistance in the circuit.

If less than 2 ohms, replace the X50A fuse block - underhood.

If the test lamp is always ON

1. Ignition OFF, disconnect the X2 harness connector at the X50A fuse block - underhood, ignition ON.

2. Test for less than 1 V between the control circuit terminal and ground.

If 1 V or greater, repair the short to voltage on the circuit.

If less than 1 V, replace the X50A fuse block - underhood.

If the test lamp turns ON and OFF

5. Test or replace the P14 passenger air bag disable indicator.

Repair Instructions

Perform the Diagnostic Repair Verification Verification Tests after completing the repair.

* Automatic or Manual Transmission Control Lever Trim Cover Replacement Service and Repair

* Door Lock Switch Replacement Service and Repair

* Headlamp Switch Replacement Service and Repair

* Inflatable Restraint Instrument Panel Module Indicator Replacement Service and Repair

* Outside Remote Control Rearview Mirror Switch Replacement Service and Repair

* Radio Control Switch Replacement - Steering Wheel Radio Control Switch Replacement - Steering Wheel

* Sunroof Switch Replacement Service and Repair

* Control Module References Control Module References for BCM replacement, programming, and setup