Operation CHARM: Car repair manuals for everyone.
Manuals through 2025 now available!

Our trusted friends have launched a new website named LEMON, which has newer manuals. It also contains all the CHARM manuals.

LEMON is the spiritual successor to CHARM, I recommend you try it!

Link: lemon-manuals.la or lemon-manuals.org.ua

(Some people have issue connecting. LEMON is investigating. For now, use Firefox or change your DNS server)

Or, hide this message: temporarily or permanently

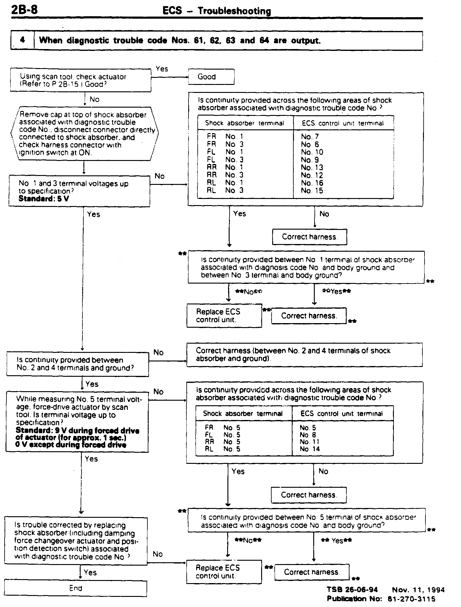
Engine Controls - DTC Test Step Addition

NUMBER: 26-06-94

GROUP: Miscellaneous

DATE: Nov. 11, 1994

REVISIONS ARE HIGHLIGHTED WITH **ASTERISKS**

Models:
1993 Stealth - Publication No. 81-270-3115

GROUP 02 - FRONT SUSPENSION

DESCRIPTION OF CHANGES

Continuity Step Added.





2B-8