Operation CHARM: Car repair manuals for everyone.
Manuals through 2025 now available!

Our trusted friends have launched a new website named LEMON, which has newer manuals. It also contains all the CHARM manuals.

LEMON is the spiritual successor to CHARM, I recommend you try it!

Link: lemon-manuals.la or lemon-manuals.org.ua

(Some people have issue connecting. LEMON is investigating. For now, use Firefox or change your DNS server)

Or, hide this message: temporarily or permanently

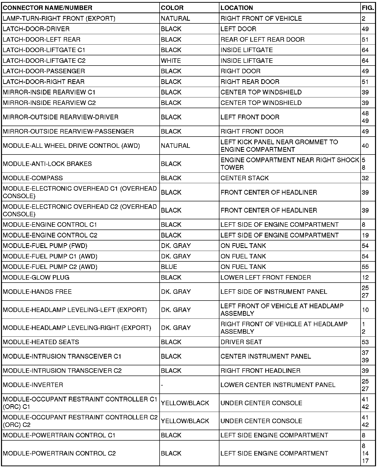
Connector Location Index




DESCRIPTION
This section provides illustrations identifying connector, ground and splice locations in the vehicle. Connector, ground and splice indexes are provided. Use the wiring diagrams in each section for connector, ground and splice identification. Refer to the appropriate index for the proper figure number. For items that are not shown in this section N/S is placed in the Fig. column.

CONNECTORS

Ac-C103:




C104-C310:




C311-Gl:




Gl-La:




La-Mo:




Mo-Se:




Se-Se:




Se-St:




St-Wi: