Operation CHARM: Car repair manuals for everyone.
Manuals through 2025 now available!

Our trusted friends have launched a new website named LEMON, which has newer manuals. It also contains all the CHARM manuals.

LEMON is the spiritual successor to CHARM, I recommend you try it!

Link: lemon-manuals.la or lemon-manuals.org.ua

(Some people have issue connecting. LEMON is investigating. For now, use Firefox or change your DNS server)

Or, hide this message: temporarily or permanently

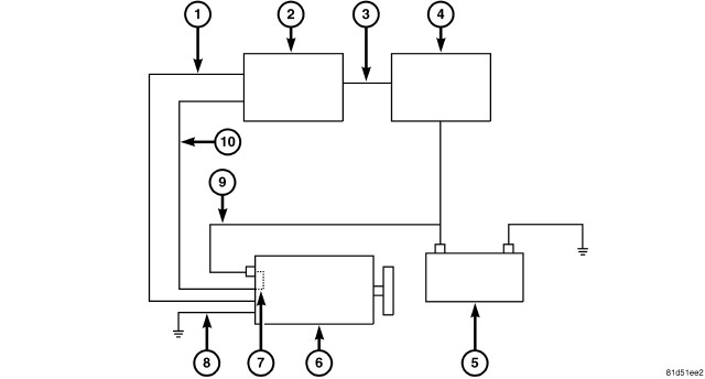
Charging System - Operation






OPERATION




CHARGING SYSTEM OPERATION





The charging system is turned on and off with the Powertrain Control Module (PCM) (2) and ignition switch with engine running. The field circuit will not be energized until engine is running and ignition switch is on. This voltage is connected through the PCM (2) and supplied to the generator field circuit (1) at the back of the generator (6). The generator (6) is internally grounded through the generator case ground (8). The generator (6) regulates the field using Pin 1 of the field connector (High side driver).

The generator (6) is driven by the engine through a serpentine belt and pulley or decoupler pulley arrangement.

The PCM (2) receives a voltage input from the generator (6) via the B+ sense circuit (10) and also a battery sense input (3) from the Gateway (Totally Integrated Power Module, Integrated Power Module) (4), it then compares the voltages to the desired voltage programed in the Electronic Voltage Regulator (EVR) software and if there is a difference it sends a signal to the generator EVR circuit to increase or decrease output. It uses Pulse Width Modulation (PWM) to send signals to the generator circuitry to control the amount of output from the generator. The amount of DC current produced by the generator is controlled by the EVR circuitry contained within the PCM (2).

All vehicles are equipped with On-Board Diagnostics (OBD). All OBD-sensed systems, including EVR circuitry, are monitored by the PCM. Each monitored circuit is assigned a Diagnostic Trouble Code (DTC). The PCM will store a DTC in electronic memory for certain failures it detects.

The Check Gauges Lamp (if equipped) monitors: charging system voltage, engine coolant temperature and engine oil pressure. If an extreme condition is indicated, the lamp will be illuminated. This is done as reminder to check the three gauges. The lamp is located on the instrument panel.

Voltage is monitored at B+ sense circuit (10) to insure the cable is connected. If the B+ circuit (generator output) (9) cable is loose anywhere in the circuit the B+ sense circuit (10) will show high voltage. This condition causes the PCM (2) to shut down the generator field circuit (1). Because of this feature, pin 2 of the field connector is internally connected to the B+ circuit (9).

The diesel generator is internally regulated. The generator and PCM communicate for diagnostics, etc. If the generator regulator becomes disconnected from the PCM it will operate, but in a default mode.