Operation CHARM: Car repair manuals for everyone.
Manuals through 2025 now available!

Our trusted friends have launched a new website named LEMON, which has newer manuals. It also contains all the CHARM manuals.

LEMON is the spiritual successor to CHARM, I recommend you try it!

Link: lemon-manuals.la or lemon-manuals.org.ua

(Some people have issue connecting. LEMON is investigating. For now, use Firefox or change your DNS server)

Or, hide this message: temporarily or permanently

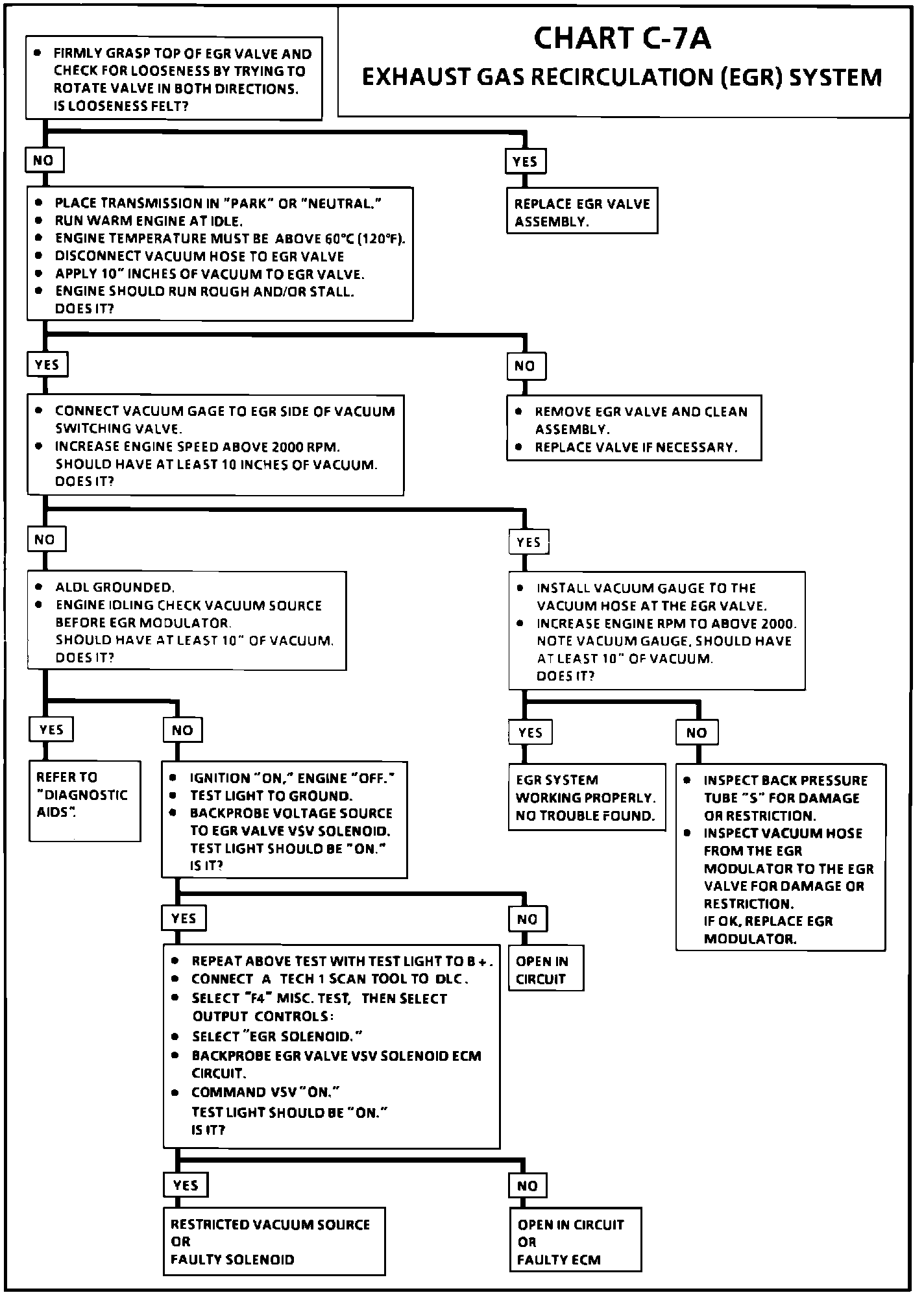
EGR System Check (Chart C-7)

Chart C-7A:




EGR Valve Circuit:






CIRCUIT DESCRIPTION:

A properly operating EGR system will directly affect the air/fuel requirements of the engine. Since the exhaust gas introduced into the air/fuel mixture is an inert gas (contains very little or no oxygen), less fuel is required to maintain a correct air/fuel ratio. If the EGR system were to become inoperative, the inert exhaust gas would be replaced with air and the air/fuel mixture would be leaner. The ECM would compensate for the lean condition by adding fuel, resulting in higher block learn values. The engine control system operates within two block learn cells, a closed throttle cell and an open throttle cell. Since EGR is not sued at idle, the closed throttle cell would not be affected by EGR system operation. The open throttle cell is affected by EGR operation and when the EGR system is operating properly, the block learn values in both cells should be close to being the same. If the EGR system was inoperative, the block learn value in the open throttle cell would change (become higher to compensate for the resulting lean system, but the block learn value in the closed throttle cell would not change. This change or difference in block learn values is used to monitor EGR system performance.

DIAGNOSTIC AIDS:

The EGR valve chart is a check of the EGR system. If the EGR system works properly, check other items that could result in high block learn values in the open throttle cell, but not in the closed throttle cell.

CHECK:

EGR passages, restricted or blocked.

MAP sensor, a MAP sensor may shift in calibration enough to affect fuel delivery. Chart C-1D Manifold Absolute Pressure (MAP) Output Check