Operation CHARM: Car repair manuals for everyone.
Manuals through 2025 now available!

Our trusted friends have launched a new website named LEMON, which has newer manuals. It also contains all the CHARM manuals.

LEMON is the spiritual successor to CHARM, I recommend you try it!

Link: lemon-manuals.la or lemon-manuals.org.ua

(Some people have issue connecting. LEMON is investigating. For now, use Firefox or change your DNS server)

Or, hide this message: temporarily or permanently

Oxygen Sensor Testing

Oxygen Sensor Test Chart:




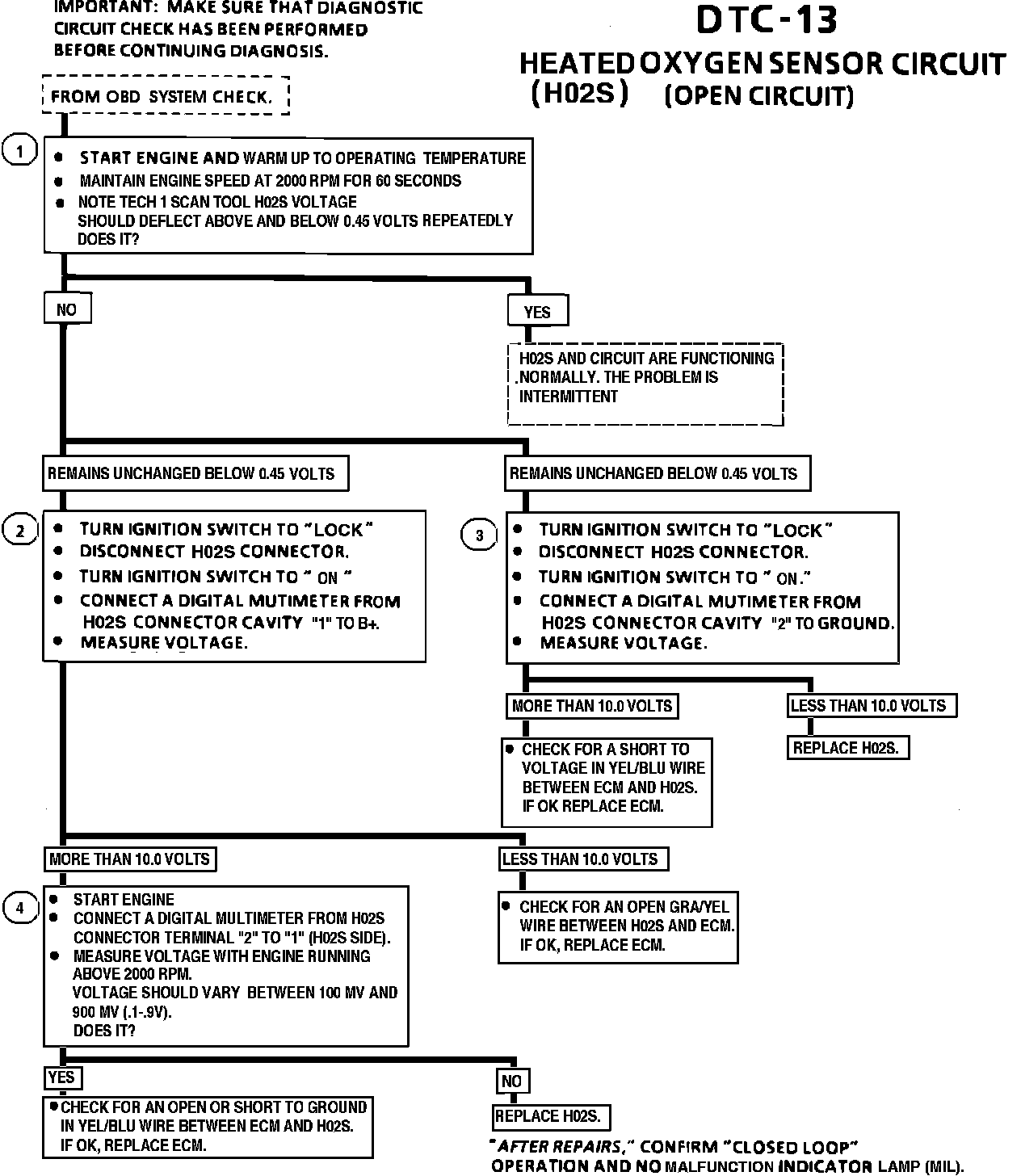
Heated Oxygen Sensor Circuit:






CIRCUIT DESCRIPTION:

The heated oxygen sensor (H02S), produces a voltage that varies between .1 volt and .9 volt under normal operating conditions. The ECM monitors this voltage and determines if the exhaust is lean or rich. If the voltage input at the ECM is about .1 volt, the exhaust is lean, and if the voltage input is about .9 volt, the exhaust is rich. The (H02S) has a built-in heater that keeps the (H02S) at normal operating temperature while the engine is running. DTC 13 will set if the following conditions are met for more than 30 seconds continuously, and the conversion value of the H02S output voltage does not exceed 0.45 volts:

^ Engine operating temperature greater than 70°C (158°F).
^ Engine RPM greater than or equal to 2100 RPM.
^ Hasn't achieved fuel cut mode.


TEST DESCRIPTION: The numbers below refer to circled numbers on the diagnostic chart.

1. This checks for H02S voltage activity.

2. This checks for an open in GRA/YEL wire between ECM and H02S or for a faulty ECM.

3. This checks for a short to voltage in YEL/BLU wire between ECM and H02S, a faulty ECM or H02S.

4. This checks for an open or short to ground in YEL/BLU wire between ECM and H02S, a faulty ECM or H02S.

DIAGNOSTIC AIDS:

An intermittent may be caused by a poor connection, rubbed through wire insulation, or a wire broken inside the insulation. Inspect harness connectors for backed out terminals, improper mating, broken locks, improperly formed or damaged terminals and poor terminal-to-wire connections before component replacement.