Operation CHARM: Car repair manuals for everyone.
Manuals through 2025 now available!

Our trusted friends have launched a new website named LEMON, which has newer manuals. It also contains all the CHARM manuals.

LEMON is the spiritual successor to CHARM, I recommend you try it!

Link: lemon-manuals.la or lemon-manuals.org.ua

(Some people have issue connecting. LEMON is investigating. For now, use Firefox or change your DNS server)

Or, hide this message: temporarily or permanently

System Performance Check

Air Conditioning Service Station:




The performance test will help to determine if the air conditioning system is operating within specifications.

1. Connect the Air Conditioning Service Station as shown.

NOTE: Connect the adapter to the high pressure hose first, then connect the hoses to the car as shown. When testing is completed, disconnect the hose adapter from the high-side fitting; do not disconnect the hose from the adapter, or refrigerant may escape from the system.

2. Insert a thermometer in the center vent outlet. Determine the relative humidity and ambient air temperature by calling the local weather station.
3. Test conditions:
- Avoid direct sunlight.
- Open hood.
- Open front doors.
- Set the temperature control lever to COOL and push the mode control button to VENT position and recirculation control button to REC position.
- Turn the fan switch to the highest position.
- Run the engine at 1,500 rpm.
- No driver or passengers in the vehicle.

Checking Temperature Of A/C System Through The Ducts:




4. After running the air conditioning for 10 minutes under the above test conditions, read the delivery temperature from the thermometer in the dash vent and the high and low system pressure from the Air Conditioning Service Station.

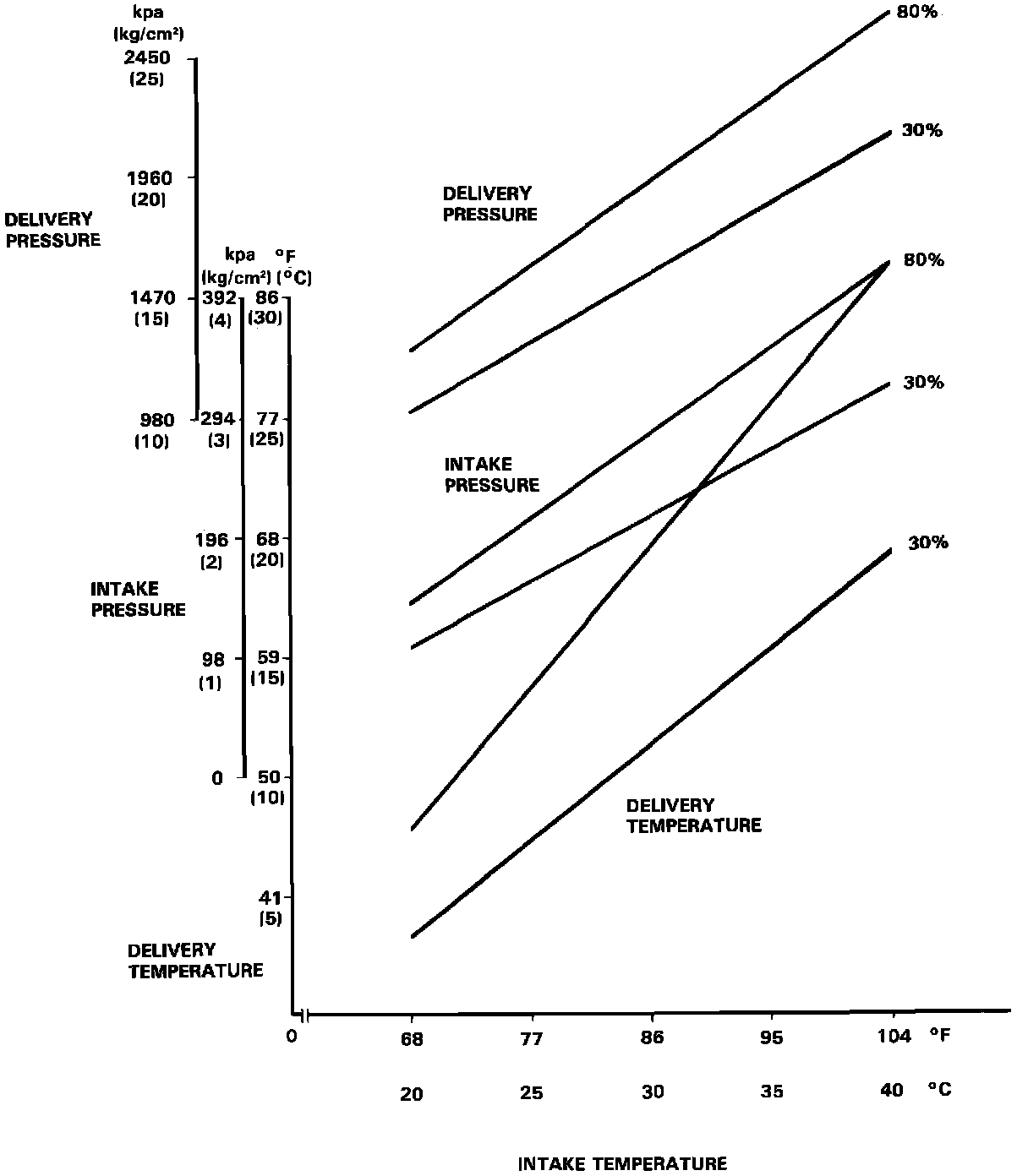
A/C System Temperature Chart:




5. To complete the charts:
- Mark the delivery temperature along the vertical line.
- Mark the intake temperature (ambient air temperature along the bottom line.
- Draw a line straight up from the air temperature to the humidity.
- Mark a point one line above and one line below the humidity level (10% above and 10% below the humidity level.
- From each point, draw a horizontal line across the delivery temperature.
- The delivery temperature should fall between the two lines.
- Complete the low side pressure test and high side pressure test in the same way.
- Any measurements outside the line may indicate the need for further inspection.