Operation CHARM: Car repair manuals for everyone.
Manuals through 2025 now available!

Our trusted friends have launched a new website named LEMON, which has newer manuals. It also contains all the CHARM manuals.

LEMON is the spiritual successor to CHARM, I recommend you try it!

Link: lemon-manuals.la or lemon-manuals.org.ua

(Some people have issue connecting. LEMON is investigating. For now, use Firefox or change your DNS server)

Or, hide this message: temporarily or permanently

Heating and Air Conditioning: Testing and Inspection

NOTE: R-134a systems require the use of special service equipment designed specifically for R-134a systems. R-12 servicing equipment cannot be used on R-134a systems.

1. Connect gauge manifold following manufacturer's instructions. Insert thermometer in the center vent outlet, then determine relative humidity and ambient air temperature by using portable weather station or calling your local weather station.
2. Ensure vehicle is not in direct sunlight, then open hood and front doors. Place temperature control at MAX COOL, press VENT and RECIRCULATE buttons, then switch fan to MAX position.
3. Start engine and operate at 1500 RPM for ten minutes with no driver or passengers in vehicle, then check delivery temperature from thermometer in dash vent and high and low system pressure from A/C gauges.

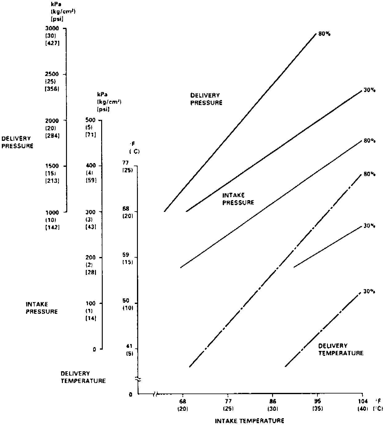
Fig. 9 Performance Chart:





4. Using appropriate chart, Fig. 9, mark delivery temperature along vertical line, then intake temperature (ambient air temperature) along bottom line.
5. Draw line straight up from air temperature to humidity, then mark a point one line above and one line below humidity level (10% above and 10% below humidity level).
6. From each point, draw horizontal line across to delivery temperature. Delivery temperature should fall between the two lines.
7. Complete low and high side pressure tests in same way. Any measurement outside lines may indicate need for further inspection.