Operation CHARM: Car repair manuals for everyone.
Manuals through 2025 now available!

Our trusted friends have launched a new website named LEMON, which has newer manuals. It also contains all the CHARM manuals.

LEMON is the spiritual successor to CHARM, I recommend you try it!

Link: lemon-manuals.la or lemon-manuals.org.ua

(Some people have issue connecting. LEMON is investigating. For now, use Firefox or change your DNS server)

Or, hide this message: temporarily or permanently

Part Two




Navigation System Diagnostic Mode


Save Users Memory

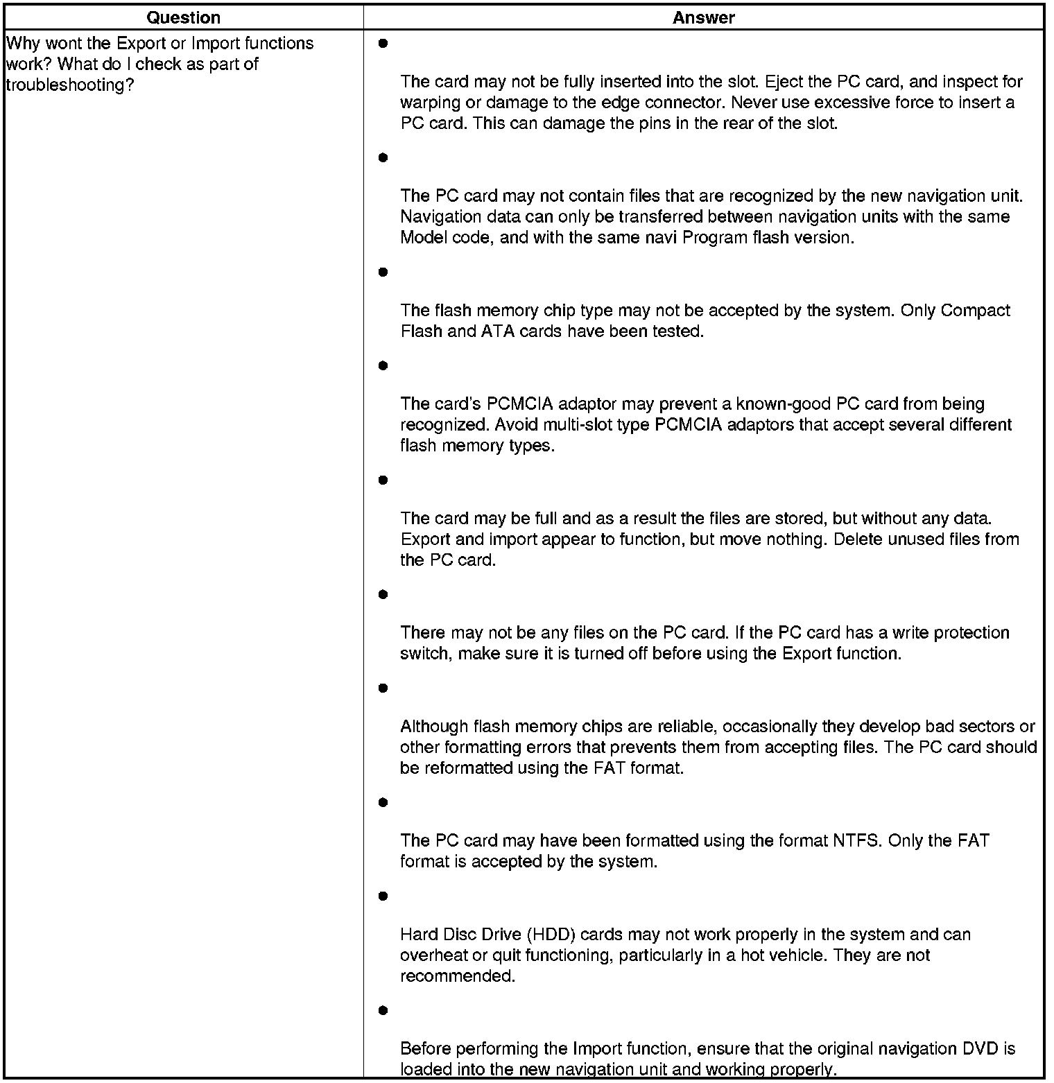
When replacing the navigation unit, this function allows the dealer to transfer the customer's personal data to the new navigation unit. The transferred information includes their Setup settings, and personal addresses. The dealer inserts a PC card to the navigation unit, and then selects the Save Users Memory function. The two functions in this diagnostic screen are EXPORT and IMPORT. EXPORT saves the customer's data to the PC card, and IMPORT moves the PC card files to the new navigation unit.





Before starting this function, see the PC Card FAQs for information regarding PC cards, and how to use this function.

1. Select the EXPORT button to move the customer's data from the original navigation unit to the PC card. Select YES on the Export User Data Confirmation screen. The process takes only a couple of seconds. The system stores two files on the card.

NOTE: If the EXPORT button is grayed out, check the PC card's edge connector, and the pins inside the navigation unit (with a flashlight) for damage.





2. After installing the customer's original DVD in the new navigation unit, allow the system to boot up. Insert the PC card in the new navigation unit and enter the Save Users Memory in the navigation system diagnostic mode.

3. Select the IMPORT button to move the two files stored by the Export process from the PC card to the new navigation unit. Select YES on the Import User Data Confirmation screen. When the transfer is finished (a few seconds) the system automatically reboots. After the system reboots, remove the PC card from the PC card slot.

NOTE: If the IMPORT button is grayed out, check if the Model and the Program Flash shown on the Version screen are the same for the two navigation units.






Demo Mode

This screen is for factory use only, and should always be set to OFF. Occasionally the DEMO setting is turned ON when vehicles are being used at Auto Shows or similar events. Turning this feature on, allows the navigation system to automatically follow a route to a destination when the vehicle is stationary. The Speed Rate changes the speed of the demo mode.






Mic Level

This diagnostic allows you to independently test the microphone and the navigation TALK and BACK buttons. They are used to activate the voice control system. The microphone is located near the map light in the roof console. The microphone can now isolate the driver's voice even when there is noise or other conversations in the vehicle. To properly check the microphones, make sure you are sitting in the driver's seat.

- Press the navigation TALK button on the steering wheel, wait unit you hear a beep, and in a normal voice say "testing". The TALK indicator on the screen should momentarily turn green, and the text Now Recording... should appear in yellow. If the talk indicator shown on the screen does not briefly turn green, check the wiring from the steering wheel navigation TALK button to the navigation unit. If there is no Mic Level movement when you speak, then you should check the wires running from the microphone in the roof console to the HandsFreeLink control unit and the navigation unit. If the wires are OK, the microphone must be faulty; replace the microphone located in roof console Front HFL-Navigation-ANC Microphone Removal/Installation.
- Press the navigation BACK button on the steering wheel. This should cause the Cancel indicator on the screen to momentarily turn green. If it does not briefly turn green, check the wiring from the steering wheel navigation BACK button to the navigation unit.





F-CAN System Link

F-CAN (Fast Controller Area Network) passes information between processors on the network. The F-CAN network uses a communication protocol that transmits data at 500 Kbps.

- If the diagnostic screen below reads NG with the ignition switch is in ON (II), then diagnostic trouble codes (DTCs) for the F-CAN can be retrieved with the HDS (Honda Diagnostic System). The data displayed in the ID boxes is irrelevant.
- For more details on troubleshooting the F-CAN.





GPS Information

This screen shows the current status of GPS reception. The circular diagram shows the current location of the GPS satellites (yellow numbers) as they would appear in the sky. The outer circle represents the horizon (0 degrees elevation). The middle and inner circles represents 30 and 60 degrees respectively. The very center of the diagram (90 degrees elevation) is directly overhead. Nearby obstructions, like tall buildings will block satellites in that direction. That is why it is necessary to be in an open area to effectively troubleshoot GPS reception issues. The satellite numbers shown on the diagram correspond to the PRN number in the GPS Details screen. There are always at least 24 active GPS satellites in orbit. Because satellites fail, and have to be removed from service, spares are always parked in orbit, ready to be activated. This is why the PRN (satellite ID number) can be greater than 24.

NOTE: When you use this screen for troubleshooting, park the vehicle outside, away from buildings, tall trees, and high-tension wires for at least 10 minutes with the engine running.

- The Number of Satellites box shows the number of acquired satellites (maximum of 12). It should contain three or more icons. If not, troubleshoot for GPS icon is white or not shown Symptom Troubleshooting.
- The Current Position shows latitude, longitude, and elevation (in feet). If there are less than four satellites, the elevation can be grossly inaccurate.
- The Date/Time field shows the current date, and also a time that includes daylight savings and other offsets entered by the customer in Setup screen 2 Adjust Time Zone/Clock.





NOTE: Pressing the map/guide button displays the satellite number on each circle.

GPS Detail

By pressing and holding the MENU button for 2 seconds, a GPS Detail screen appears. This screen displays real time incoming satellite positional data when the vehicle is outside in the open. The information shown on this screen is for factory use.

NOTE: The date shown in an example only.





- The box TS/AS and H Dop/V Dop is for factory use.
- The Speed and Direction information is updated in real time when driving.
- The Date/Time Information is the same as in Setup screen 2 Adjust Time Zone/Clock.
- If the 3D icon is shown above the yellow dots, this implies that at least four satellites are available for map positioning, and the GPS indicator on the map screen will be green. See the Global Positioning System detailed explanation in the System Description.
- If the row of data in the table below begins with a yellow dot, the AZI and EL fields can be used to locate each satellite on the circular GPS diagram (see prior screen).

NOTE: The table of values define the terms at the top of the columns in the GPS Detail screen.






Yaw Rate

This diagnosis checks the yaw rate sensor in the navigation unit. This device detects when the vehicle turns, and repositions the vehicle position icon on the map screen. For more detailed information, see the yaw rate sensor theory of operation under System Description Description and Operation.

- Sensor indicates the voltage output from the yaw rate sensor. It should indicate about 2.500 V when the vehicle is stopped.
- Offset is the reference voltage or standard within the yaw rate sensor. It also should indicate about 2.500 V when the vehicle is stopped.
- A sensor output voltage LOWER than the Offset voltage indicates that the vehicle is turning to the right.
A sensor output voltage HIGHER than the Offset voltage indicates that the vehicle is turning to the left.
- The yaw rate offset, and sensor should both indicate about 2.500 V when the vehicle is stopped. If either reads zero, or 5.000 V, replace the navigation unit.
- The yaw rate offset and sensor should be within +/-0.01 V of each other when the vehicle is stopped. The sensor value should change relative to the offset as the vehicle turns while driving. If not, replace the navigation unit.

Example: Vehicle stopped





Example: Vehicle turning





- Sensitivity study represents the status of the internal tuning function. At initialization, this value starts at 6 and increases to 10 as the internal correction values become more accurate.
- The settings CCW Cal Factor, CW Cal Factor, and Set are for factory use only. THIS SHOULD NEVER BE ADJUSTED.
- For detailed analysis of the yaw rate select tuning.





Yaw Rate Tuning

This diagnosis allows you to graphically display problems with the yaw rate sensor.

- The ANG-Disp value accumulates any differences between the offset and sensor voltages (see Yaw Rate diagnosis). When the sensor functions properly, the random changes in these two voltages generally cancels out, so the value is 0. However if one voltage is consistently higher than the other, then the ANG-Disp value accumulates the constant change.
- The Reset button temporarily clears the angular accumulation (ANG-Disp), and clears the display dots.
- Do not touch the CCW, CW, or Set buttons. These are used for factory setup only.

Two tests are explained. For large problems with the sensor values, the stationary test usually confirms whether the sensor is defective. For yaw rate issues related to driving, do the road test.

1. Stationary test: If the VP icon spins in place and the ANG-Disp value slowly increases or decreases in value, the yaw rate sensor is defective. Replace the navigation unit.

2. Road test: Drive the vehicle on a very straight road. Enter the diagnostic mode, select Yaw rate, and touch the Tuning button. While driving down a straight road, the white dots should trace a straight line across the screen. However, if you are driving on a straight road, and you notice the dots constantly dropping down or heading up as you drive, the navigation unit's yaw sensor is defective. You can touch Reset to clear ANG-Disp, and dotted lines.

If either test above fails, please enter Yaw rate sensor defective for the problem description, on the Navigation core return form.

NOTE: The CCW, CW and Set buttons are disabled and cannot be activated.






Car Status

Use this screen to confirm that the navigation unit is properly receiving input signals. Signals equal to (0) are OFF, and signals equal to (1) are ON. If the value on the display does not match the actual vehicle status, then check the wire carrying the signal.

- VSP-Vehicle Speed Pulse from ECM/PCM (Connector A (8P) terminal No.6)
a) OFF (0) when vehicle is not moving
b) ON (1) when vehicle is moving

The VSP comes from the ECM/PCM as a dedicated signal. Internally, the navigation unit compares the actual VP on the map against street data to adjust the pulse to speed scaling factor. As this scaling factor becomes more accurate, the Level gradually increases from 0 to 10 (see the Tire Calibrate diagnostic screen).

- BACK-Reverse indication from taillight relay (Connector A (8P) terminal No.5)
a) OFF (0) when the shift lever is in any position other than reverse
b) ON (1) when the shift lever is in reverse

The Back signal is used by the navigation unit to allow the map screen to show the VP moving backwards when in reverse. This signal is needed because the Speed Pulse has no direction indication.






- IGNITION-Ignition Switch Position Indication (Connector A (8P) terminals No. 1 and 2)
Detects if the engine is running is running using information provided over the F-CAN bus.
a) OFF (0) when the ignition switch position is in ACCESSORY (I)
b) ON (1) when the ignition switch position is in ON (II)

- ILL-Illumination Indication (Connector B (32P) terminal No. 5)
a) OFF (0) when parking lights, or headlights are off
b) ON (1) when parking lights, or headlights are on

The navigation uses the signal to determine whether to put the navigation screen into the Day or Night brightness mode. (Setup screen 1)

- ILL CANCEL
This item detects whether the illumination cancel function is in use.
a) OFF (0) if illumination cancel is not selected
b) ON (1) if illumination cancel is activated

The illumination cancel function is activated by increasing the dash brightness to MAX. The F-CAN bus passes this information from the gauge control module to the navigation unit.

NOTE: This setting is unaffected by the display mode hard button located below and to the left of the interface dial.

Version

This screen displays the current version information for the navigation system software. In addition, this screen allows the loading of updated software if requested by the factory, or instructed by a Service Bulletin. Software may be loaded from a CD or a PC card.

- Program Flash: Displays the version of the navigation software in memory.
- Program Disc: If displayed, this value represents the version of the navigation software on the navigation DVD.
NOTE: The last two letters of the Program Flash or DVD fields indicate which DVD is installed in the unit. The letters KA imply that a United States DVD is installed. If the letters are KC, then a Canada DVD is installed. (See coverage discussion below.)
- IPL, APL, DBOOT, and System uCom, are all for factory use.
- Model: For this model, the field should begin with TA0.
- Download: Do not touch, unless instructed by the factory.
Check any official Honda service website for more service information about navigation DVDs.





There are two navigation DVDs produced for this model.

- The white DVD labeled United States is for the US market and contains maps for the contiguous 48 US states, and some southern portions of Canada.
Customers wanting additional northern coverage in Canada, can purchase a Canada DVD by contacting the DVD fulfillment desk.
- The gray DVD labeled Canada, is for the Canada market, and contains maps for all of Canada, plus some of the northern US states. If customers with this DVD require full US coverage (including states like Florida and Texas), they may purchase a United States DVD by contacting the DVD fulfillment desk.

PC Card FAQs









Error Message Table