Operation CHARM: Car repair manuals for everyone.
Manuals through 2025 now available!

Our trusted friends have launched a new website named LEMON, which has newer manuals. It also contains all the CHARM manuals.

LEMON is the spiritual successor to CHARM, I recommend you try it!

Link: lemon-manuals.la or lemon-manuals.org.ua

(Some people have issue connecting. LEMON is investigating. For now, use Firefox or change your DNS server)

Or, hide this message: temporarily or permanently

Oxygen Sensor: Testing and Inspection

NOTICE: If using a Hyundai Diagnostic System to diagnose the oxygen sensor, refer to TSB #96-36-002 dated May 1996 for further information.


HEATED OXYGEN SENSOR (HO2S)

SOHC Engine Is Shown, DOHC Locations Are Similar:





The heated oxygen senor senses the oxygen concentration in exhaust gas, converts it into a voltage which is sent to the ECM. The heated oxygen sensor outputs about 800mV when the air fuel ratio is richer than the theoretical ratio and outputs about 100mV when the ratio is leaner (higher oxygen concentration in exhaust gas.) The ECM controls the fuel injection ratio based on this signal so that the air fuel ratio is maintained at the theoretical ratio. The oxygen sensor has a heater element which ensures the sensor performance during all driving condition.

CIRCUIT DIAGRAM





HARNESS INSPECTION PROCEDURE





SENSOR INSPECTION

NOTE
1) Before checking, warm up the engine until the engine coolant temperature reaches 80 to 95°C (176 to 205°F).
2) Use an accurate digital voltmeter.

1. Replace the oxygen sensor if there is a malfunction.

Tightening torque: 50 - 60 Nm (500 - 600 kg.cm, 37 - 44 lb.ft)

TROUBLESHOOTING PROCEDURES








Malfunction Symptom
When the lean/rich period is above 2.6s in the condition that fully warm-up engine is 2,000 - 3,000 r.p.m and engine is above middle load.





Malfunction Symptom
When 02 sensor output voltage is maintained as following for above 50 sec.
- Upstream: 0.4 V - 0.6 V
- Downstream : 0.4 V - 0.5 V


TROUBLESHOOTING HINTS
1. If the heated oxygen sensor is defective abnormally high emission may occur.
2. If the heated oxygen sensor check has resulted normal, but the sensor output voltage is cut of specification, check for the following items related to air fuel ratio control system.
- Faulty injector.
- Air leaks in the intake manifold.
- Faulty mass air flow sensor, EVAP valve and engine coolant temperature sensor
- Wiring connection problem.

USING VOLTMETER





NOTE If you release the accelerator pedal suddenly during engine running with about 4000 rpm fuel supply will be stopped for a while. And when you suddenly press down the accelerator pedal will, the voltage will reach 'B' range. And then, when you let the engine idle again, the voltage fluctuates between 'A' and 'B' range. In this case, the 02 sensor can be determined as a good one.

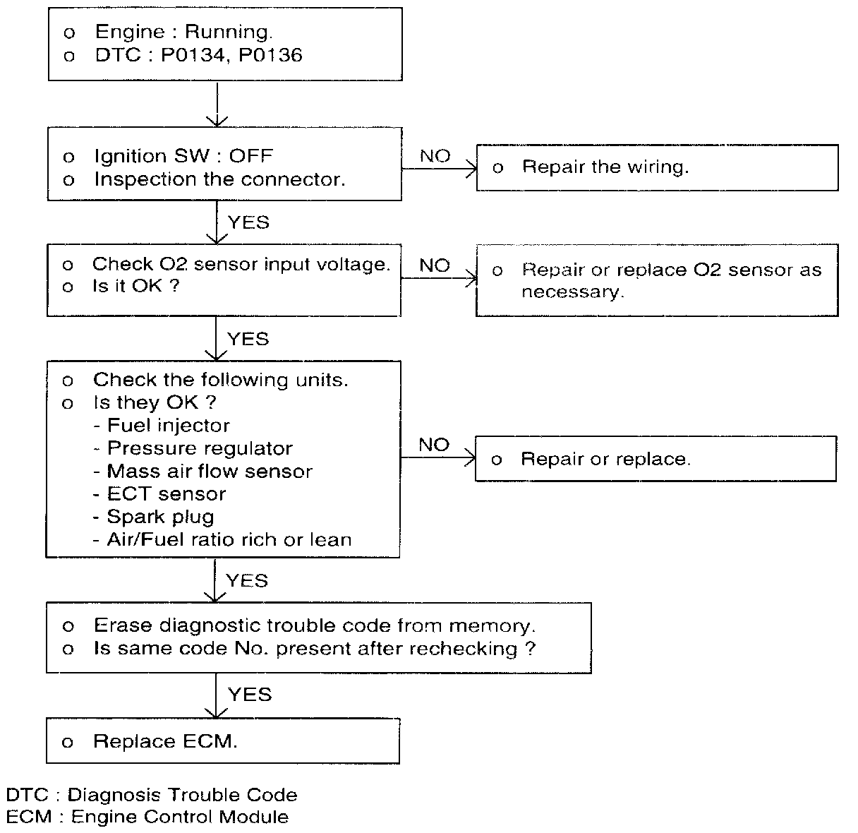
AIR-FUEL CONTROL TROUBLESHOOTING PROCEDURE





MALFUNCTION SYMPTOM
Air/Fuel ratio stays rich or lean anger than specified period because of system malfunction.