Operation CHARM: Car repair manuals for everyone.
Manuals through 2025 now available!

Our trusted friends have launched a new website named LEMON, which has newer manuals. It also contains all the CHARM manuals.

LEMON is the spiritual successor to CHARM, I recommend you try it!

Link: lemon-manuals.la or lemon-manuals.org.ua

(Some people have issue connecting. LEMON is investigating. For now, use Firefox or change your DNS server)

Or, hide this message: temporarily or permanently

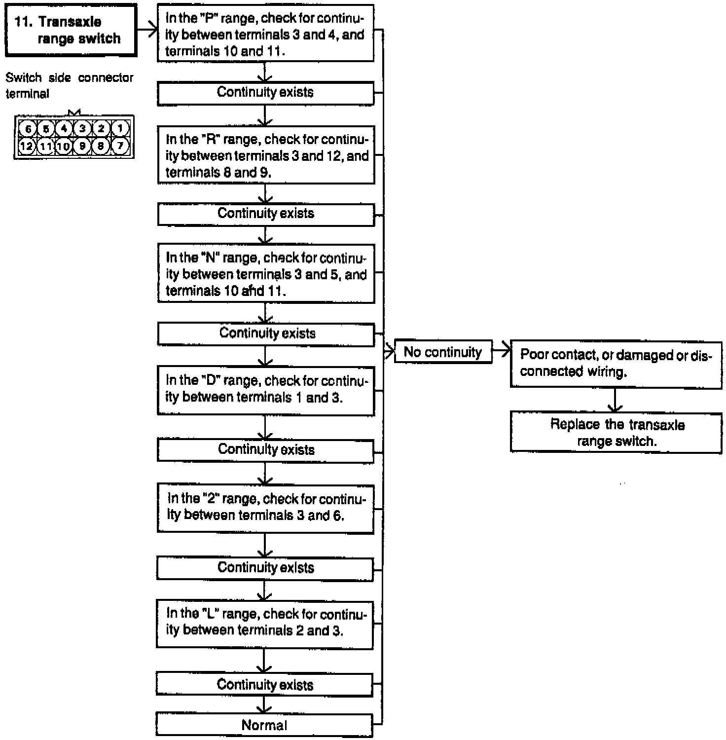
Transmission Position Sensor/Switch: Testing and Inspection





CIRCUIT DIAGRAM





INSPECTION USING SCAN TOOL





HARNESS INSPECTION PROCEDURE





TRANSAXLE TEST CHART

TROUBLESHOOTING HINTS
If the transaxle range switch harness check is normal but the transaxle range switch output is abnormal, check the control cable adjustment.