Manuals through 2025 now available!
Our trusted friends have launched a new website named LEMON, which has newer manuals. It also contains all the CHARM manuals.
LEMON is the spiritual successor to CHARM, I recommend you try it!
Link:
lemon-manuals.la or
lemon-manuals.org.ua
(Some people have issue connecting. LEMON is investigating. For now, use Firefox or change your DNS server)
Or, hide this message:
temporarily or
permanently
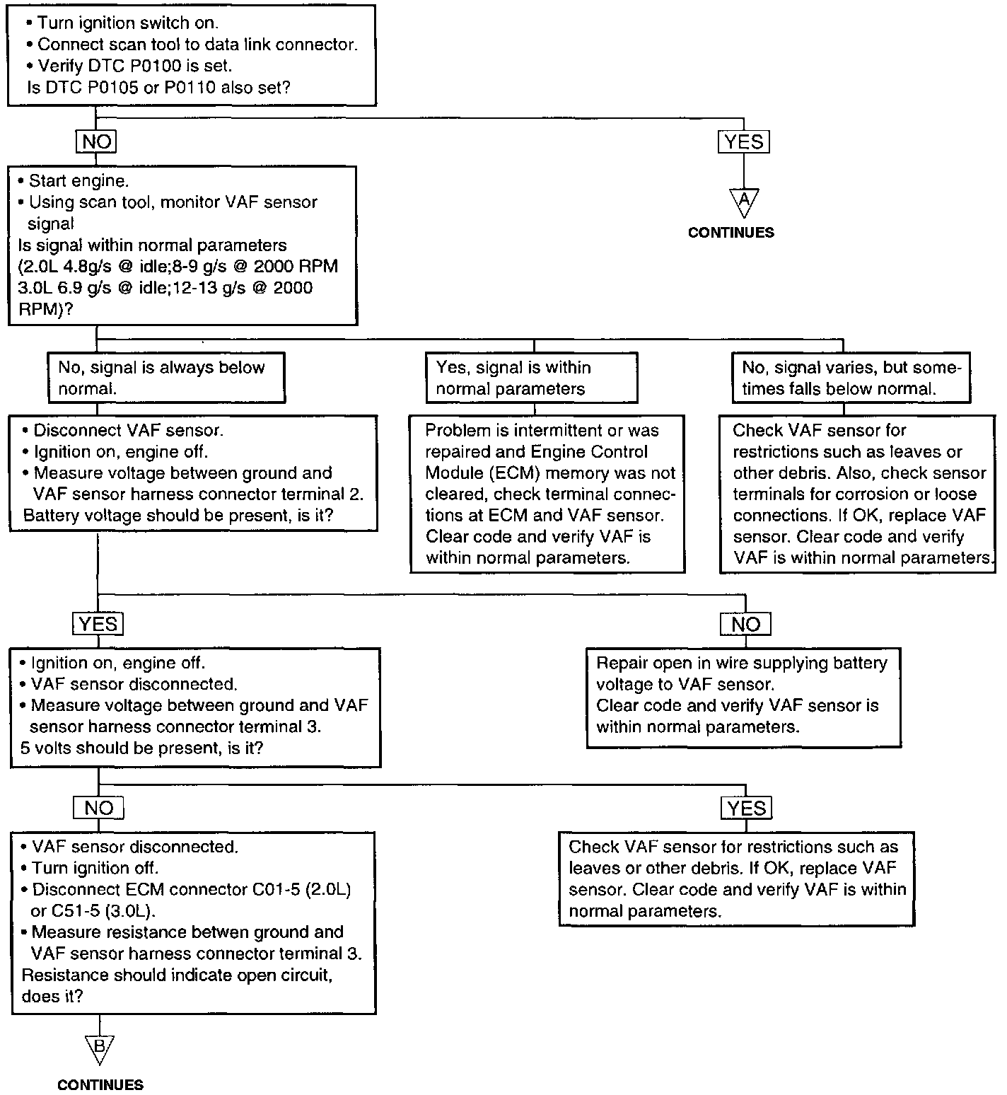
Sensor Testing
DTC - P0100Detection Condition The Volume Air Flow
(VAF) sensor is located in the air cleaner. The sensor measures the volume of air passing though the air intake and generates a pulsed signal. The Engine Control Module
(ECM) counts the pulses generated by the sensor and uses the signal to set fuel injector base pulse width.
Part 1 of 2Part 2 of 2