Operation CHARM: Car repair manuals for everyone.
Manuals through 2025 now available!

Our trusted friends have launched a new website named LEMON, which has newer manuals. It also contains all the CHARM manuals.

LEMON is the spiritual successor to CHARM, I recommend you try it!

Link: lemon-manuals.la or lemon-manuals.org.ua

(Some people have issue connecting. LEMON is investigating. For now, use Firefox or change your DNS server)

Or, hide this message: temporarily or permanently

Engine Controls - Revised/New DTC Diagnostics

Group:
ENGINE ELECTRICAL

Number:
04-36-013

Date:
AUGUST, 2004

Model:
2004 SANTA FE 3.5L, 2004 XG350

Subject:
DIAGNOSTIC TROUBLE CODES (DTCS) REVISION

DESCRIPTION:

Some diagnostic trouble codes (DTCs) for 2004 Santa Fe 3.5L and 2004 XG350 vehicles have been added and revised. This bulletin provides the newly added and revised DTCs in addition to the diagnostic procedures for these DTCs.

VEHICLES AFFECTED:

^ Model: 2004 SANTA FE and 2004 XC vehicles with 3.5L engines

^ Service Manual:

-- 2004 Santa Fe Shop Manual (Pub. No.: A26S-EU36D)

-- 2004 XG350 Shop Manual (Pub. No.: A39S-EU31G)

SERVICE PROCEDURE:





Added Codes

NOTE:
Refer to the diagnostic procedures shown for the above DTCs.





Changed Codes





DIAGNOSTIC PROCEDURE FOR DTC P0506 (FOR XG)





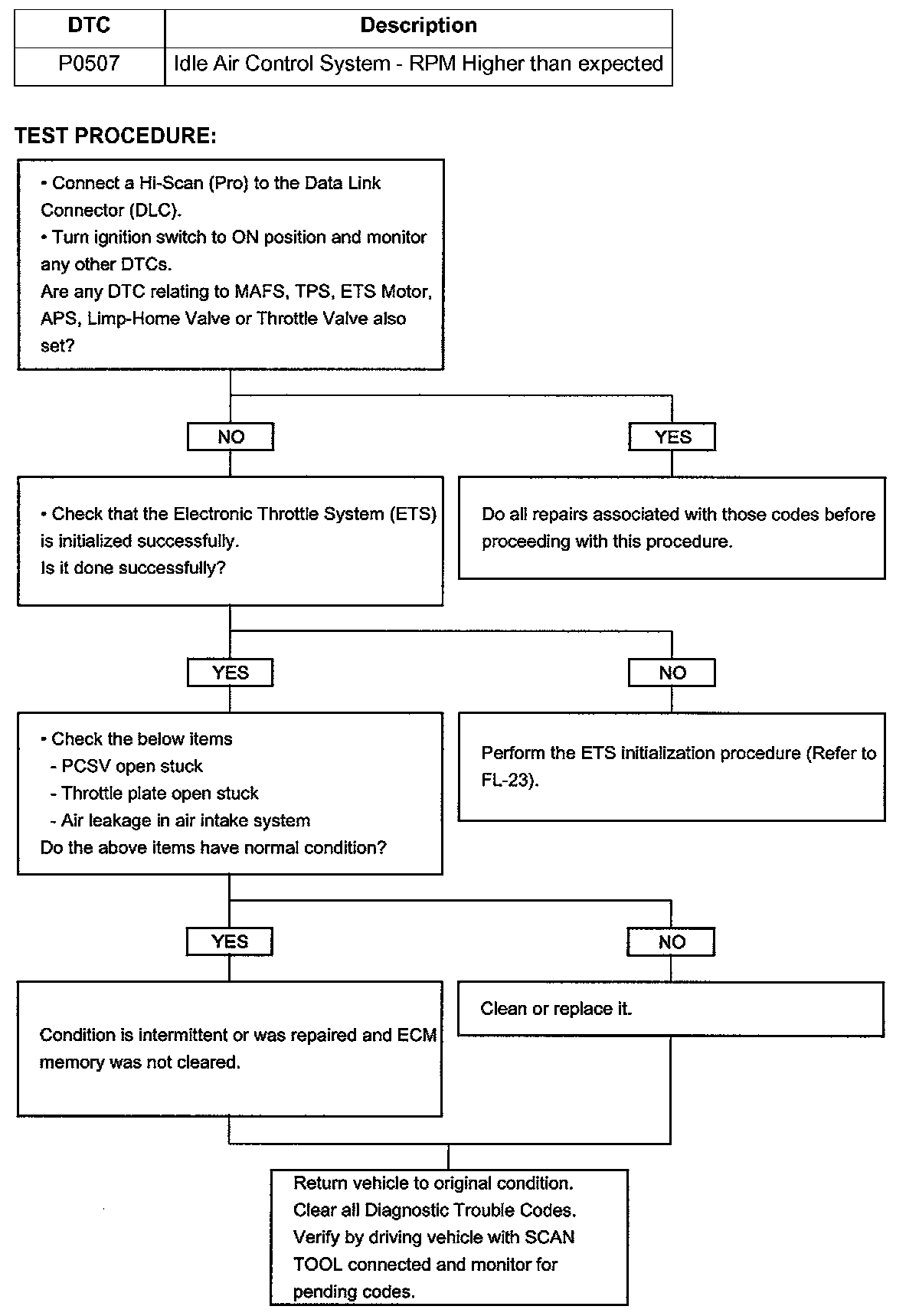
DIAGNOSTIC PROCEDURE FOR DTC P0507 (FOR XG)





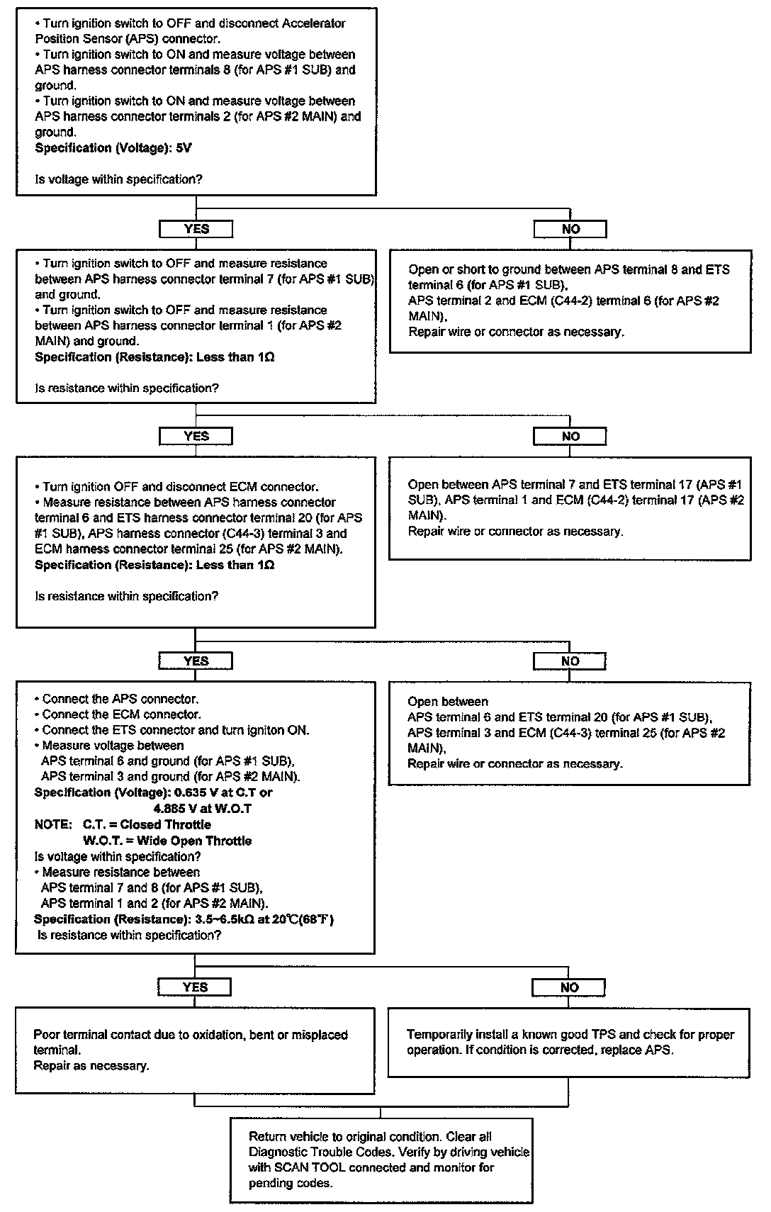
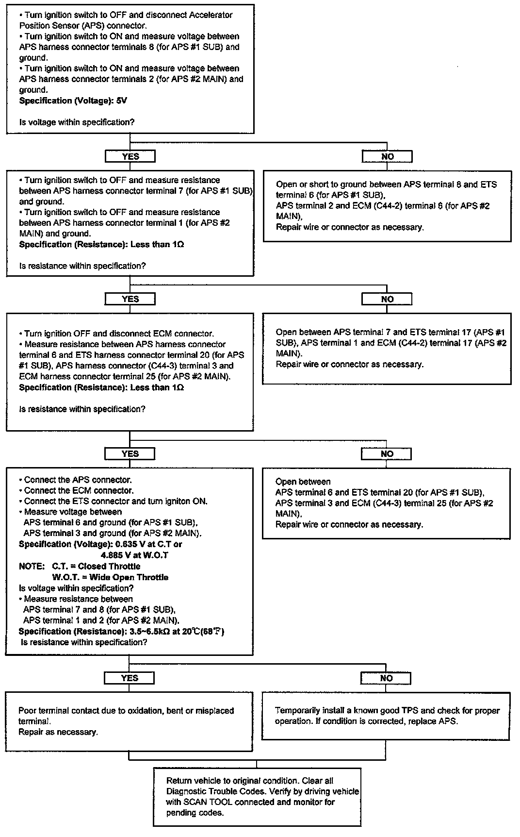
DIAGNOSTIC PROCEDURE FOR DTC P2135, P0121, P0122, P0123, P0220, P0222, P0223, P0224 (FOR XG)





TEST PROCEDURE





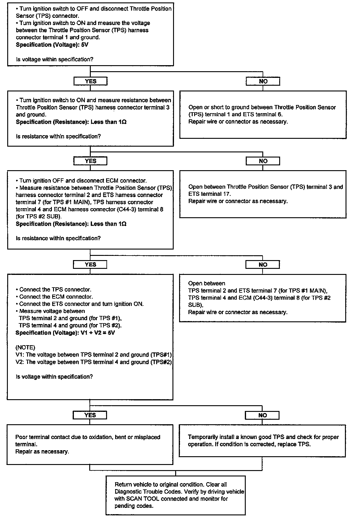
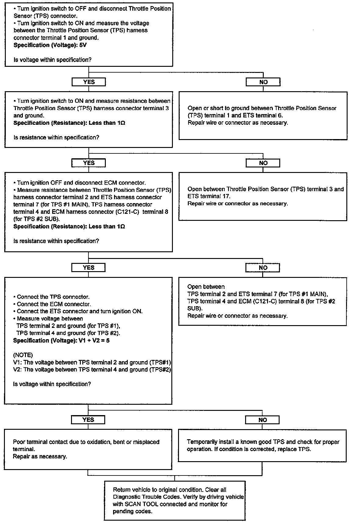
DIAGNOSTIC PROCEDURE FOR DTC P2122, P2123, P2125, P2127, P2128, P2138 (FOR XG)





TEST PROCEDURE





DIAGNOSTIC PROCEDURE FOR DTC P0506 (FOR SANTA FE)





DIAGNOSTIC PROCEDURE FOR DTC P0507 (FOR SANTA FE)





DIAGNOSTIC PROCEDURE FOR DTC P2135, P0121, P0122, P0123, P0220, P0222, P0223, P0224 (FOR SANTA FE)





TEST PROCEDURE





DIAGNOSTIC PROCEDURE FOR DTC P2122, P2123, P2125, P2127, P2128, P2138 (FOR SANTA FE)





TEST PROCEDURE