Operation CHARM: Car repair manuals for everyone.
Manuals through 2025 now available!

Our trusted friends have launched a new website named LEMON, which has newer manuals. It also contains all the CHARM manuals.

LEMON is the spiritual successor to CHARM, I recommend you try it!

Link: lemon-manuals.la or lemon-manuals.org.ua

(Some people have issue connecting. LEMON is investigating. For now, use Firefox or change your DNS server)

Or, hide this message: temporarily or permanently

Inspection





Inspection

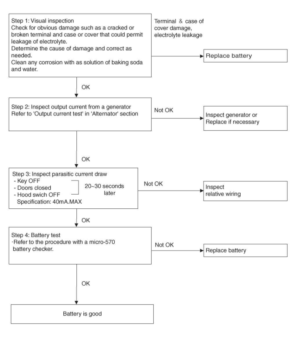
Battery Diagnostic Flow





Load Test
1. Perform the following steps to complete the load test procedure for maintenance free batteries.
2. Connect the load tester clamps to the terminals and proceed with the test as follow:
(1) If the battery has been on charge, remove the surface charge by connecting a 300 ampere load for 15 seconds.
(2) Connect the voltmeter and apply the specified load.
(3) Read the voltage after the load has been applied for 15 seconds.
(4) Disconnect the load.
(5) Compare the voltage reading with the minimum and replace the battery if battery test voltage is below that shown in the voltage table.






NOTE:
- If the voltage is greater than shown in the table, the battery is good.
- If the voltage is less than shown in the table, replace the battery.

Battery Diagnostic Test (2)

1. Make sure the ignition switch and all accessories are in the OFF position.
2. Disconnect the battery cables (negative first).
3. Remove the battery from the vehicle.

CAUTION:
Care should be taken in the event the battery case is cracked or leaking, to protect your skin from the electrolyte.
Heavy rubber gloves (not the household type) should be worn when removing the battery.




4. Inspect the battery tray for damage caused by the loss of electrolyte. If acid damage is present, it will be necessary to clean the area with a solution of clean warm water and baking soda. Scrub the area with a stiff brush and wipe off with a cloth moistened with baking soda and water.
5. Clean the top of the battery with the same solution as described above.
6. Inspect the battery case and cover for cracks. If cracks are present, the battery must be replaced.
7. Clean the battery posts with a suitable battery post tool.
8. Clean the inside surface of the terminal clamps with a suitable battery cleaning tool. Replace damaged or frayed cables and broken terminal clamps.
9. Install the battery in the vehicle.
10. Connect the cable terminals to the battery post, making sure tops of the terminals are flush with the tops of the posts.
11. Tighten the terminal nuts securely.
12. Coat all connections with light mineral grease after tightening.

CAUTION:
When batteries are being charged, an explosive gas forms beneath the cover of each cell. Do not smoke near batteries being charged or which have recently been charged. Do not break live circuit at the terminals of batteries being charged.
A spark will occur when the circuit is broken. Keep open flames away from battery.