Operation CHARM: Car repair manuals for everyone.
Manuals through 2025 now available!

Our trusted friends have launched a new website named LEMON, which has newer manuals. It also contains all the CHARM manuals.

LEMON is the spiritual successor to CHARM, I recommend you try it!

Link: lemon-manuals.la or lemon-manuals.org.ua

(Some people have issue connecting. LEMON is investigating. For now, use Firefox or change your DNS server)

Or, hide this message: temporarily or permanently

Automatic Transmission/Transaxle: Testing and Inspection





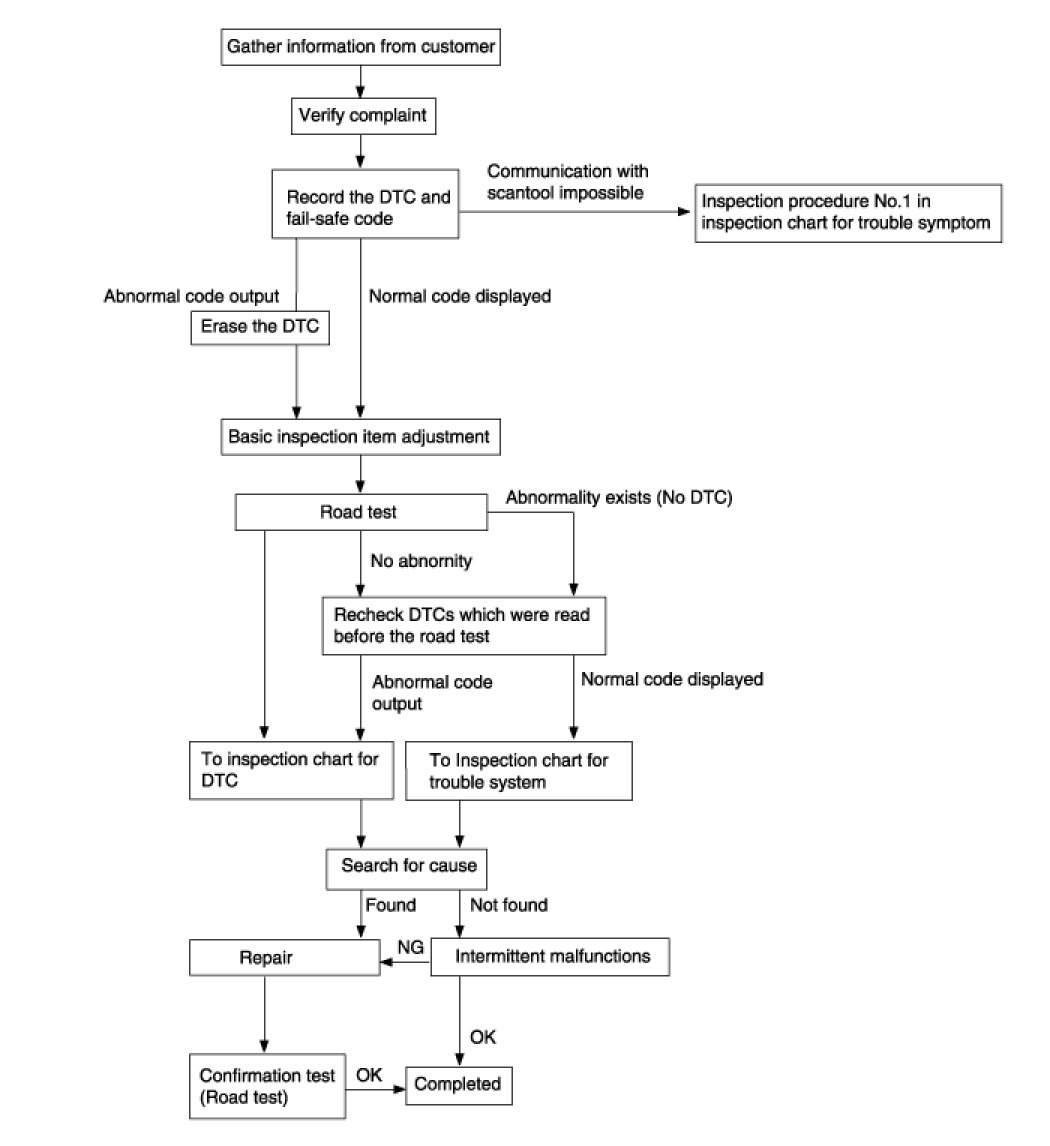
Troubleshooting





Diagnostic Trouble Codes (Inspection Procedure)
Check The Diagnostic Trouble Codes
1. Turn the ignition switch to OFF.
2. Connect the Hi-scan tool to the DLC connector for diagnosis.
3. Turn the ignition switch to ON.
4. Check the diagnostic trouble codes using the Hi-scan tool.
5. Read the output diagnostic trouble codes. Then follow the remedy procedures according to the "DIAGNOSTIC TROUBLE CODE DESCRIPTION" on the following pages.

NOTE:
- A maximum of 10 diagnostic trouble codes (in the sequence of occurrence) can be stored in the Random Access Memory (RAM) incorporated within the control module.
- The same diagnostic trouble code can be stored one time only.
- If the number of stored diagnostic trouble codes or diagnostic trouble patterns exceeds 10, already stored diagnostic trouble codes will be erased in sequence, beginning with the oldest.
- Do not disconnect the battery until all diagnostic trouble codes or diagnostic trouble patterns have been read out, because all stored diagnostic trouble codes or diagnostic trouble patterns will be cancelled when the battery is disconnected.
- All diagnostic trouble codes are deleted from memory the 200th time the ATF temperature reaches 50°C(122°F) after memorization of the most recent diagnostic code.

6. Delete the diagnostic trouble code.
7. Disconnect the Hi-scan tool.

NOTE:
DTC cleaning should only be done with the scan tool.

Diagnostic Trouble Code Table






NOTE:
- D/C : Damper clutch
- PG-A : Input shaft rotation speed sensor
- PG-B : Output shaft rotation speed sensor
- PCSV : Pressure control solenoid valve
- SCSV : Shift solenoid valve

Check The Control System (Using The Hi-scan Tool)










Fluid Leaks Inspection
Check for leaks from the transmission. If there are leaks, it is necessary to repair or replace O-ring, seal packings, oil seals, plugs or other parts.





Transaxle Fluid Level Inspection
1. Park the vehicle at even straight surface.
2. Before removing the oil level gauge, wipe all contaminants from around the oil level gauge.
3. Set the select lever to the "P"position and engage the parking brake and then start the engine.
4. Drive the vehicle until the fluid reaches normal.(80 - 90°C(176 - 194°F))
5. Move the select lever through all positions. This will fill the torque converter with transaxle fluid. Set the select lever to the "N"(Neutral) position.
6. Check that the fluid level is the "HOT" mark on the oil level gauge. If fluid level is low, add automatic transaxle fluid until the level reaches the "HOT" mark.

Automatic transaxle fluid :
GENUINE DIAMOND ATF SP-III or SK ATF SP-III
Quantity: 6.1l (6.4 US qt, 5.4 lmp.qt)

NOTE:
Low fluid level can cause a variety of abnormal conditions because it allows the pump to take in air along with fluid. Air trapped in the hydraulic system forms bubbles, which are compressible.
Therefore, pressures will be erratic, causing delayed shifting, slipping clutches and brakes, etc. Improper filling can also raise fluid level too high. When the transaxle has too much fluid, gears churn up foam and cause the same conditions which occur with low fluid level, resulting in accelerated deterioration of automatic transaxle fluid.
In either case, air bubbles can cause overheating, and fluid oxidation, which can interfere with normal valve, clutch, and brake operation.
Foaming can also result in fluid escaping from the transaxle vent where it may be mistaken for a leak.
Also check the condition of the transaxle fluid. If the fluid smells as if it is burning, it means that the fluid has been contaminated by fine particles from the bushes and friction material, a transaxle overhaul may be necessary.
Inspect the condition of fluid on the oil level gauge. For the detail check, drain some of the oil fluid out of the pump and then inspect the condition of the oil fluid.
After checking, insert the oil level gauge into the oil filler tube securely.




When new, automatic transaxle fluid should be red, The red dye is added so the assembly plant can identify it as transaxle fluid and distinguish it from engine oil or antifreeze. The red dve, which is not an indicator of fluid quality, is not permanent. As the vehicle is driven the transaxle fluid will begin to look darker. The color may eventually appear light brown.
But, the transaxle should be overhauled under the following conditions.
- If there is a "burning"door.
- If the fluid the color has become noticeably blacker.
- If there is a noticeably excessive amount of metal particle in the fluid.

Hydraulic Pressure Test
1. Warm up the engine until the automatic transaxle fluid temperature is 80 - 100°C(176 - 212°F).
2. Jack up the vehicle so that the wheels are free to turn.
3. Connect the engine tachometer.
4. Connect the oil pressure gauge(09452-21500) and the oil pressure gauge adapter(09452-21002, 09452-21001) to each pressure discharge port. But use the gauge(30kg/cm2) when measuring the reverse pressure, front clutch pressure and low&reverse brake pressure.




5. If a value is outside the standard range, correct the problem while referring to the hydraulic pressure test diagnosis table.

Standard Hydraulic Pressure Test





NOTE:
- "-" is 0.2(0.3)kg/cm2 or less and "( )" is the reverse.
- SW-ON : Turn the overdrive control switch ON.
- SW-OFF : Turn the overdrive control switch OFF.
- The hydraulic pressure may be more than standard value at the ambient temperature.

Drive Shaft Oil Seals Replacement
1. Disconnect the drive shaft from the transaxle.
2. Using a flat-tip (-) screwdriver, remove the oil seal(A).




3. Apply a coating of the transaxle fluid to the lip of the oil seal.
4. Using the special tool (09431-22100), tap the drive shaft oil seal into the transaxle.





Torque Converter Stall Test
This test measures the maximum engine speed when the select lever is at the "D" or "R" position and the throttle is fully opened to test the operation of the torque converter overrunning clutch and the holding ability of clutch and brake in the transaxle.

NOTE:
Do not let anybody stand in front of or behind the vehicle while this test is being carried out.

1. Check the automatic transaxle fluid level and temperature and the engine coolant temperature.
A. Fluid level : At the HOT mark on the oil level gauge
B. Fluid temperature : 80 - 90°C (176 - 194°F)
C. Engine coolant temperature : 80 - 90°C (176 - 194°F)
2. Apply chocks to both rear wheels.
3. Connect the engine tachometer.
4. Pull the parking brake lever on, with the brake pedal fully depressed.
5. Start the engine.
6. Move the select lever to the "D" position, fully depress the accelerator pedal and take a reading of the maximum engine speed at this time.

CAUTION:
- The throttle should not be left fully open for any more than 5 seconds.
- If carrying out the stall test two or more times, move the select lever to the "N" position and run the engine at 1,000 r/min to let the automatic transaxle fluid cool down before carrying out subsequent tests.
- Move the select lever to the "R" position and carry out the same test again.

Stall rpm :2,400 - 2,800 RPM

7. Move the select lever to the "R" position carry out the same test again.
(1) "Stall speed above specification in "D"
If stall speed is higher than specification, the rear clutch or overrunning clutch of the transaxle is slipping. In this case, perform a hydraulic test to locate the cause of slippage.
(2) Stall speed above specification in "R"
If the stall speed is higher than specification, the front clutch of the transaxle or low&reverse brake is slipping. In this case, perform a hydraulic test to locate the cause of slippage.
(3) Stall speed above specification in "D" and "R"
If the stall speed is lower than specification, insufficient engine output or a faulty torque converter is suspected.