Operation CHARM: Car repair manuals for everyone.
Manuals through 2025 now available!

Our trusted friends have launched a new website named LEMON, which has newer manuals. It also contains all the CHARM manuals.

LEMON is the spiritual successor to CHARM, I recommend you try it!

Link: lemon-manuals.la or lemon-manuals.org.ua

(Some people have issue connecting. LEMON is investigating. For now, use Firefox or change your DNS server)

Or, hide this message: temporarily or permanently

Automatic Transmission/Transaxle





General Specifications





General Torque Specifications

Shift Schedule





VEHICLE SPEED WHEN SHIFTING GEARS





VEHICLE SPEED WHEN PERFORMING LOCK-UP





Stall Revolution





Line Pressure

Control Valves





CONTROL VALVE AND PLUG RETURN SPRINGS

Clutch and Brakes





REVERSE CLUTCH








HIGH CLUTCH





FORWARD CLUTCH





OVERRUN CLUTCH





LOW & REVERSE BRAKE





BRAKE BAND





Clutch and Brake Return Springs





Oil Pump





Input Shaft





Planetary Carrier

Final Drive





DIFFERENTIAL SIDE GEAR CLEARANCE





DIFFERENTIAL SIDE GEAR THRUST WASHERS (FOR RE4F03B)





DIFFERENTIAL SIDE GEAR THRUST WASHER (FOR RE4F03W)





BEARING PRELOAD





TURNING TORQUE





DIFFERENTIAL SIDE BEARING ADJUSTING SHIMS (FOR RE4F03B)





DIFFERENTIAL SIDE BEARING ADJUSTING SHIMS (FOR RE4F03W)





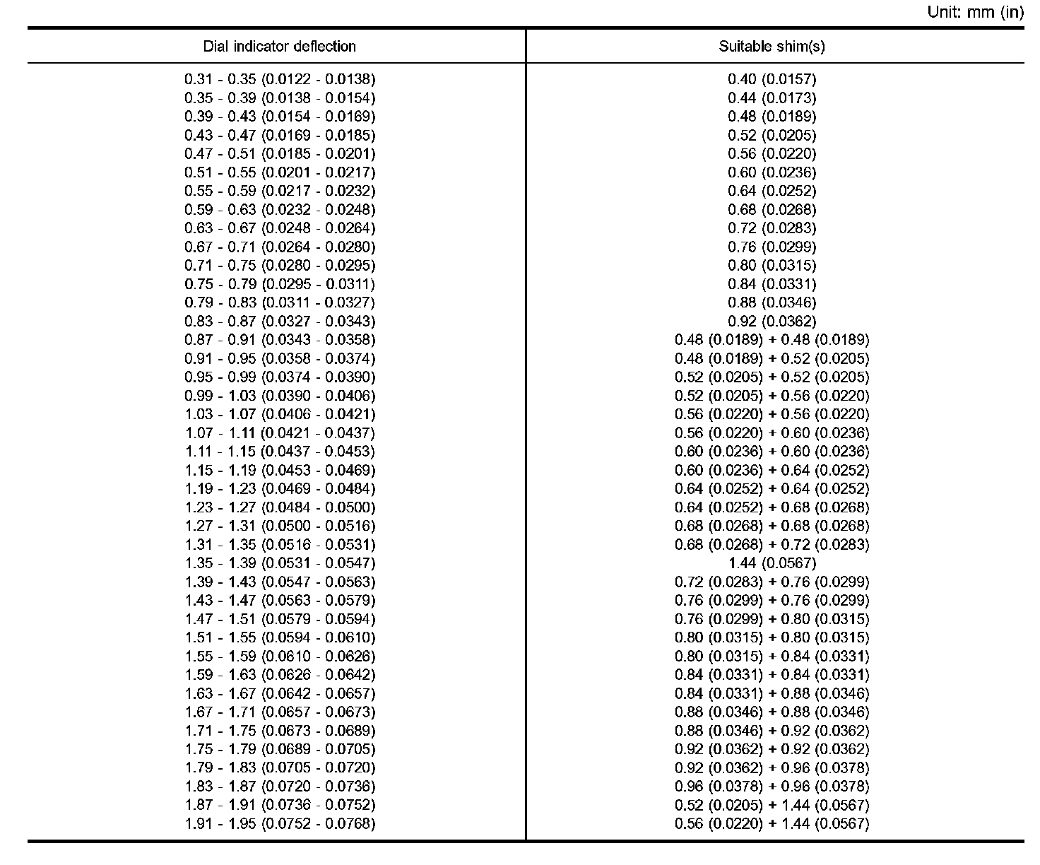
TABLE FOR SELECTING DIFFERENTIAL SIDE BEARING ADJUSTING SHIMS (FOR-RE4F03B)





TABLE FOR SELECTING DIFFERENTIAL SIDE BEARING ADJUSTING SHIMS (FOR RE4F03W)

Reduction Pinion Gear





BEARING PRELOAD





TURNING TORQUE





REDUCTION PINION GEAR BEARING ADJUSTING SHIMS





TABLE FOR SELECTING REDUCTION PINION GEAR BEARING ADJUSTING SHIM

Output Shaft





SEAL RING CLEARANCE





END PLAY





OUTPUT SHAFT END PLAY ADJUSTING SHIMS

Bearing Retainer





SEAL RING CLEARANCE





Total End Play





BEARING RACE FOR ADJUSTING TOTAL END PLAY





Reverse Clutch End Play





THRUST WASHERS FOR ADJUSTING REVERSE CLUTCH END PLAY


Accumulator





D-RING





RETURN SPRING

Band Servo





RETURN SPRING





Removal and Installation





Shift Solenoid Valves





Solenoid Valves





A/T Fluid Temperature Sensor





Revolution Sensor





Dropping Resistor

Overhaul Components





1 of 3





2 of 3





3 of 3