Operation CHARM: Car repair manuals for everyone.
Manuals through 2025 now available!

Our trusted friends have launched a new website named LEMON, which has newer manuals. It also contains all the CHARM manuals.

LEMON is the spiritual successor to CHARM, I recommend you try it!

Link: lemon-manuals.la or lemon-manuals.org.ua

(Some people have issue connecting. LEMON is investigating. For now, use Firefox or change your DNS server)

Or, hide this message: temporarily or permanently

Radiator Cooling Fan Control Module: Description and Operation

System Description




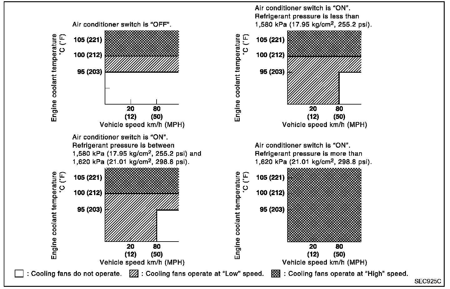
COOLING FAN CONTROL
The ECM controls the cooling fan corresponding to the vehicle speed, engine coolant temperature, refrigerant pressure and air conditioner ON signal. The control system has 3-step control [HIGH/LOW/OFF].

Operation: