Operation CHARM: Car repair manuals for everyone.
Manuals through 2025 now available!

Our trusted friends have launched a new website named LEMON, which has newer manuals. It also contains all the CHARM manuals.

LEMON is the spiritual successor to CHARM, I recommend you try it!

Link: lemon-manuals.la or lemon-manuals.org.ua

(Some people have issue connecting. LEMON is investigating. For now, use Firefox or change your DNS server)

Or, hide this message: temporarily or permanently

How to Select Main Bearing

HOW TO SELECT MAIN BEARING
When New Cylinder Block and Crankshaft are Used:





1. "Main Bearing Selection Table" rows correspond to main bearing housing grade on rear upper side between cylinder block banks





2. "Main Bearing Selection Table" columns correspond to main journal diameter grade on front side of crankshaft
3. Select main bearing grade at the point where selected row and column meat in "Main Bearing Selection Table".

CAUTION:
^ Initial clearance for No. 1, 5 journal and No. 2, 3, 4 journal is different. Use two different selection table for each part.
^ No. 1, 5 journal and No. 2, 3, 4 journal have the same signs but different measures. Do not confuse.

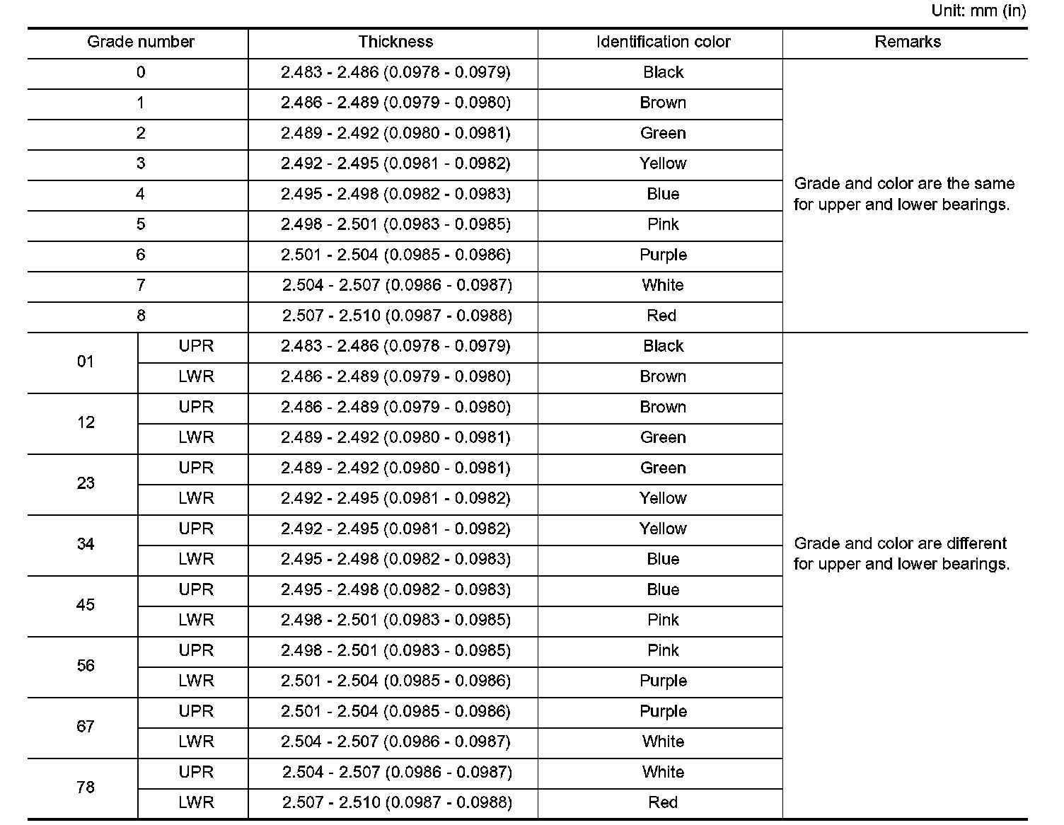
4. Apply sign at crossing in above step 3 to "Main Bearing Grade Table".

NOTE:
^ "Main Bearing Grade Table" applies to all journals.
^ Service parts is available as a set of both upper and lower.

When Cylinder Block and Crankshaft are Reused:
1. Measure the cylinder block main bearing housing inner diameter and the crankshaft main journal diameter.
2. Correspond the measured dimension in "Cylinder block main bearing housing inner diameter" row of "Main Bearing Selection Table".
3. Correspond the measured dimension in "Crankshaft main journal diameter" column of "Main Bearing Selection Table".
4. Follow step 3 and later in "When New Cylinder Block and Crankshaft are Used:".





Main Bearing Selection Table (No. 1 and 5 Journal)





Main Bearing Selection Table (No. 2, 3 and 4 Journal)





Main Bearing Grade Table (All Journals)

Use Undersize Bearing Usage Guide





When the specified main bearing oil clearance is not obtained with standard size main bearings, use underside (US) bearing.
When using undersize (US) bearing, measure the main bearing inner diameter with bearing installed, and Grind main journal so that the main bearing oil clearance satisfies the standard.

CAUTION: In grinding crankshaft main journal to use undersize bearings, keep the fillet R [1.5 mm (0.059 inch)].





Bearing undersize table