Operation CHARM: Car repair manuals for everyone.
Manuals through 2025 now available!

Our trusted friends have launched a new website named LEMON, which has newer manuals. It also contains all the CHARM manuals.

LEMON is the spiritual successor to CHARM, I recommend you try it!

Link: lemon-manuals.la or lemon-manuals.org.ua

(Some people have issue connecting. LEMON is investigating. For now, use Firefox or change your DNS server)

Or, hide this message: temporarily or permanently

How to Perform Electrical Incident Simulation Tests



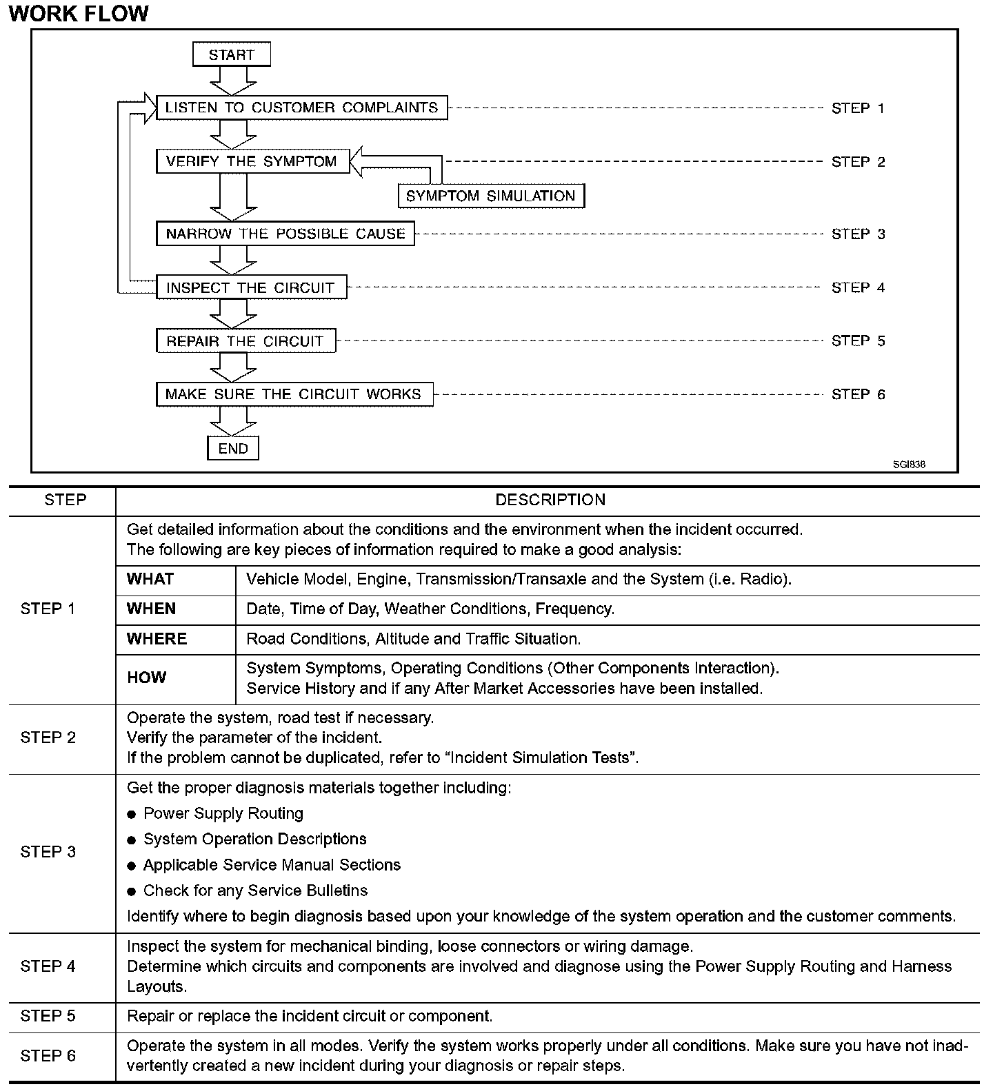
Work Flow:




WORK FLOW

INCIDENT SIMULATION TESTS

Introduction
Sometimes the symptom is not present when the vehicle is brought in for service. If possible, re-create the conditions present at the time of the incident. Doing so may help avoid a No Trouble Found Diagnosis. The following section illustrates ways to simulate the conditions/environment under which the owner experiences an electrical incident.

The section is broken into the six following topics:
- Vehicle vibration
- Heat sensitive
- Freezing
- Water intrusion
- Electrical load
- Cold or hot start up

Get a thorough description of the incident from the customer. It is important for simulating the conditions of the problem.

Vehicle Vibration
The problem may occur or become worse while driving on a rough road or when engine is vibrating (idle with A/C on). In such a case, you will want to check for a vibration related condition. Refer to the following illustration.

CONNECTORS & HARNESS
Determine which connectors and wiring harness would affect the electrical system you are inspecting. Gently shake each connector and harness while monitoring the system for the incident you are trying to duplicate. This test may indicate a loose or poor electrical connection.

HINT
Connectors can be exposed to moisture. It is possible to get a thin film of corrosion on the connector terminals. A visual inspection may not reveal this without disconnecting the connector. If the problem occurs intermittently, perhaps the problem is caused by corrosion. It is a good idea to disconnect, inspect and clean the terminals on related connectors in the system.




SENSORS & RELAYS
Gently apply a slight vibration to sensors and relays in the system you are inspecting.

This test may indicate a loose or poorly mounted sensor or relay.

ENGINE COMPARTMENT
There are several reasons a vehicle or engine vibration could cause an electrical complaint. Some of the things to check for are:
- Connectors not fully seated.
- Wiring harness not long enough and is being stressed due to engine vibrations or rocking.
- Wires laying across brackets or moving components.
- Loose, dirty or corroded ground wires.
- Wires routed too close to hot components.

To inspect components under the hood, start by verifying the integrity of ground connections. (Refer to Ground Inspection described later.) First check that the system is properly grounded. Then check for loose connection by gently shaking the wiring or components as previously explained. Using the wiring diagrams inspect the wiring for continuity.

BEHIND THE INSTRUMENT PANEL
An improperly routed or improperly clamped harness can become pinched during accessory installation. Vehicle vibration can aggravate a harness which is routed along a bracket or near a screw.

UNDER SEATING AREAS
An unclamped or loose harness can cause wiring to be pinched by seat components (such as slide guides) during vehicle vibration. If the wiring runs under seating areas, inspect wire routing for possible damage or pinching.




Heat Sensitive
The customer's concern may occur during hot weather or after car has sat for a short time. In such cases you will want to check for a heat sensitive condition.

To determine if an electrical component is heat sensitive, heat the component with a heat gun or equivalent.

Do not heat components above 60 °C (140 °F). If incident occurs while heating the unit, either replace or properly insulate the component.




Freezing
The customer may indicate the incident goes away after the car warms up (winter time). The cause could be related to water freezing somewhere in the wiring/electrical system.

There are two methods to check for this. The first is to arrange for the owner to leave his car overnight. Make sure it will get cold enough to demonstrate his complaint. Leave the car parked outside overnight. In the morning, do a quick and thorough diagnosis of those electrical components which could be affected.

The second method is to put the suspect component into a freezer long enough for any water to freeze. Reinstall the part into the car and check for the reoccurrence of the incident. If it occurs, repair or replace the component.




Water Intrusion
The incident may occur only during high humidity or in rainy/snowy weather. In such cases the incident could be caused by water intrusion on an electrical part. This can be simulated by soaking the car or running it through a car wash.

Do not spray water directly on any electrical components.




Electrical Load
The incident may be electrical load sensitive. Perform diagnosis with all accessories (including A/C, rear window defogger, radio, fog lamps) turned on.

Cold or Hot Start Up
On some occasions an electrical incident may occur only when the car is started cold, or it may occur when the car is restarted hot shortly after being turned off. In these cases you may have to keep the car overnight to make a proper diagnosis.

CIRCUIT INSPECTION

Introduction
In general, testing electrical circuits is an easy task if it is approached in a logical and organized method. Before beginning it is important to have all available information on the system to be tested. Also, get a thorough understanding of system operation. Then you will be able to use the appropriate equipment and follow the correct test procedure.




You may have to simulate vehicle vibrations while testing electrical components. Gently shake the wiring harness or electrical component to do this.

NOTE: Refer to "How to Check Terminal" to probe or check terminal.




Testing for "Opens" in the Circuit
Before you begin to diagnose and test the system, you should rough sketch a schematic of the system. This will help you to logically walk through the diagnosis process. Drawing the sketch will also reinforce your working knowledge of the system.

CONTINUITY CHECK METHOD
The continuity check is used to find an open in the circuit. The digital multimeter (DMM) set on the resistance function will indicate an open circuit as over limit (no beep tone or no ohms symbol). Make sure to always start with the DMM at the highest resistance level.

To help in understanding the diagnosis of open circuits, please refer to the previous schematic.
- Disconnect the battery negative cable.
- Start at one end of the circuit and work your way to the other end. (At the fuse block in this example)
- Connect one probe of the DMM to the fuse block terminal on the load side.
- Connect the other probe to the fuse block (power) side of SW1. Little or no resistance will indicate that portion of the circuit has good continuity. If there were an open in the circuit, the DMM would indicate an over limit or infinite resistance condition. (point A)
- Connect the probes between SW1 and the relay. Little or no resistance will indicate that portion of the circuit has good continuity. If there were an open in the circuit, the DMM would indicate an over limit or infinite resistance condition. (point B)
- Connect the probes between the relay and the solenoid. Little or no resistance will indicate that portion of the circuit has good continuity. If there were an open in the circuit, the DMM would indicate an over limit or infinite resistance condition. (point C)

Any circuit can be diagnosed using the approach in the previous example.

VOLTAGE CHECK METHOD
To help in understanding the diagnosis of open circuits please refer to the previous schematic.

In any powered circuit, an open can be found by methodically checking the system for the presence of voltage.

This is done by switching the DMM to the voltage function.
- Connect one probe of the DMM to a known good ground.
- Begin probing at one end of the circuit and work your way to the other end.
- With SW1 open, probe at SW1 to check for voltage.
voltage; open is further down the circuit than SW1.
no voltage; open is between fuse block and SW1 (point A).

- Close SW1 and probe at relay.
voltage; open is further down the circuit than the relay.
no voltage; open is between SW1 and relay (point B).

- Close the relay and probe at the solenoid.
voltage; open is further down the circuit than the solenoid.
no voltage; open is between relay and solenoid (point C).

Any powered circuit can be diagnosed using the approach in the previous example.




Testing for "Shorts" in the Circuit
To simplify the discussion of shorts in the system, please refer to the schematic.

RESISTANCE CHECK METHOD
- Disconnect the battery negative cable and remove the blown fuse.
- Disconnect all loads (SW1 open, relay disconnected and solenoid disconnected) powered through the fuse.
- Connect one probe of the DMM to the load side of the fuse terminal. Connect the other probe to a known good ground.
- With SW1 open, check for continuity.
continuity; short is between fuse terminal and SW1 (point A).
no continuity; short is further down the circuit than SW1.

- Close SW1 and disconnect the relay. Put probes at the load side of fuse terminal and a known good
ground. Then, check for continuity.
continuity; short is between SW1 and the relay (point B).
no continuity; short is further down the circuit than the relay.

- Close SW1 and jump the relay contacts with jumper wire. Put probes at the load side of fuse terminal and a known good ground. Then, check for continuity.
continuity; short is between relay and solenoid (point C).
no continuity; check solenoid, retrace steps.

VOLTAGE CHECK METHOD
- Remove the blown fuse and disconnect all loads (i.e. SW1 open, relay disconnected and solenoid disconnected) powered through the fuse.
- Turn the ignition key to the ON or START position. Verify battery voltage at the battery + side of the fuse terminal (one lead on the battery + terminal side of the fuse block and one lead on a known good ground).
- With SW1 open and the DMM leads across both fuse terminals, check for voltage.
voltage; short is between fuse block and SW1 (point A).
no voltage; short is further down the circuit than SW1.

- With SW1 closed, relay and solenoid disconnected and the DMM leads across both fuse terminals, check for voltage.
voltage; short is between SW1 and the relay (point B).
no voltage; short is further down the circuit than the relay.

- With SW1 closed, relay contacts jumped with fused jumper wire check for voltage.
voltage; short is down the circuit of the relay or between the relay and the disconnected solenoid (point C).
no voltage; retrace steps and check power to fuse block.




Ground Inspection
Ground connections are very important to the proper operation of electrical and electronic circuits. Ground connections are often exposed to moisture, dirt and other corrosive elements. The corrosion (rust) can become an unwanted resistance. This unwanted resistance can change the way a circuit works.

Electronically controlled circuits are very sensitive to proper grounding. A loose or corroded ground can drastically affect an electronically controlled circuit. A poor or corroded ground can easily affect the circuit. Even when the ground connection looks clean, there can be a thin film of rust on the surface.

When inspecting a ground connection follow these rules:
- Remove the ground bolt or screw.
- Inspect all mating surfaces for tarnish, dirt, rust, etc.
- Clean as required to assure good contact.
- Reinstall bolt or screw securely.
- Inspect for "add-on" accessories which may be interfering with the ground circuit.
- If several wires are crimped into one ground eyelet terminal, check for proper crimps. Make sure all of the wires are clean, securely fastened and providing a good ground path. If multiple wires are cased in one eyelet make sure no ground wires have excess wire insulation.

For detailed ground distribution information, refer to "Ground Distribution" in Power and Ground Distribution.

Voltage Drop Tests
Voltage drop tests are often used to find components or circuits which have excessive resistance. A voltage drop in a circuit is caused by a resistance when the circuit is in operation.

Check the wire in the illustration. When measuring resistance with DMM, contact by a single strand of wire will give reading of 0 ohms. This would indicate a good circuit. When the circuit operates, this single strand of wire is not able to carry the current. The single strand will have a high resistance to the current. This will be picked up as a slight voltage drop.

Unwanted resistance can be caused by many situations as follows:
- Undersized wiring (single strand example)
- Corrosion on switch contacts
- Loose wire connections or splices.

If repairs are needed always use wire that is of the same or larger gauge.




MEASURING VOLTAGE DROP - ACCUMULATED METHOD
- Connect the DMM across the connector or part of the circuit you want to check. The positive lead of the DMM should be closer to power and the negative lead closer to ground.
- Operate the circuit.
- The DMM will indicate how many volts are being used to "push" current through that part of the circuit.

Note in the illustration that there is an excessive 4.1 volt drop between the battery and the bulb.




MEASURING VOLTAGE DROP - STEP-BY-STEP
The step-by-step method is most useful for isolating excessive drops in low voltage systems (such as those in "Computer Controlled Systems").

Circuits in the "Computer Controlled System" operate on very low amperage.

The (Computer Controlled) system operations can be adversely affected by any variation in resistance in the system. Such resistance variation may be caused by poor connection, improper installation, improper wire gauge or corrosion.

The step by step voltage drop test can identify a component or wire with
too much resistance.







Control Unit Circuit Test
System Description:When the switch is ON, the control unit lights up the lamp.

Control Units and Electrical Parts

PRECAUTIONS




- Never reverse polarity of battery terminals.
- Install only parts specified for a vehicle.
- Before replacing the control unit, check the input and output and functions of the component parts.
- Do not apply excessive force when disconnecting a connector.
- If a connector is installed by tightening bolts, loosen bolt mounting it, then take it out by hand.




- Before installing a connector, make sure the terminal is not bent or damaged, and then correctly connect it.
When installing a connector by tightening bolts, fix it by tightening the mounting bolt until the painted projection of the connector becomes even with the surface.




- For removal of the lever type connector, pull the lever up to the direction pointed to by the arrow A in the figure, and then remove the connector.




- For installation of the lever type connector, pull down the lever to the direction pointed by the arrow B in the figure, and then push the connector until a clicking noise is heard.




- Do not apply excessive shock to the control unit by dropping or hitting it.
- Be careful to prevent condensation in the control unit due to rapid temperature changes and do not let water or rain get on it.
If water is found in the control unit, dry it fully and then install it in the vehicle.

- Be careful not to let oil to get on the control unit connector.
- Avoid cleaning the control unit with volatile oil.
- Do not disassemble the control unit, and do not remove the upper and lower covers.




- When using a DMM, be careful not to let test probes get close to each other to prevent the power transistor in the control unit from damaging battery voltage because of short circuiting.
- When checking input and output signals of the control unit, use the specified check adapter.




SMJ INSTALLATION
To install SMJ, tighten bolts until orange "fulltight" mark appears and then retighten to specified torque as required.

SMJ : 3 - 5 Nm(0.3 - 0.5 kg-m, 26 - 43 in-lb)

CAUTION: Do not overtighten bolts, otherwise, they may be damaged.