Operation CHARM: Car repair manuals for everyone.
Manuals through 2025 now available!

Our trusted friends have launched a new website named LEMON, which has newer manuals. It also contains all the CHARM manuals.

LEMON is the spiritual successor to CHARM, I recommend you try it!

Link: lemon-manuals.la or lemon-manuals.org.ua

(Some people have issue connecting. LEMON is investigating. For now, use Firefox or change your DNS server)

Or, hide this message: temporarily or permanently

Scan Tool Testing and Procedures

CAN Diagnostic Support Monitor




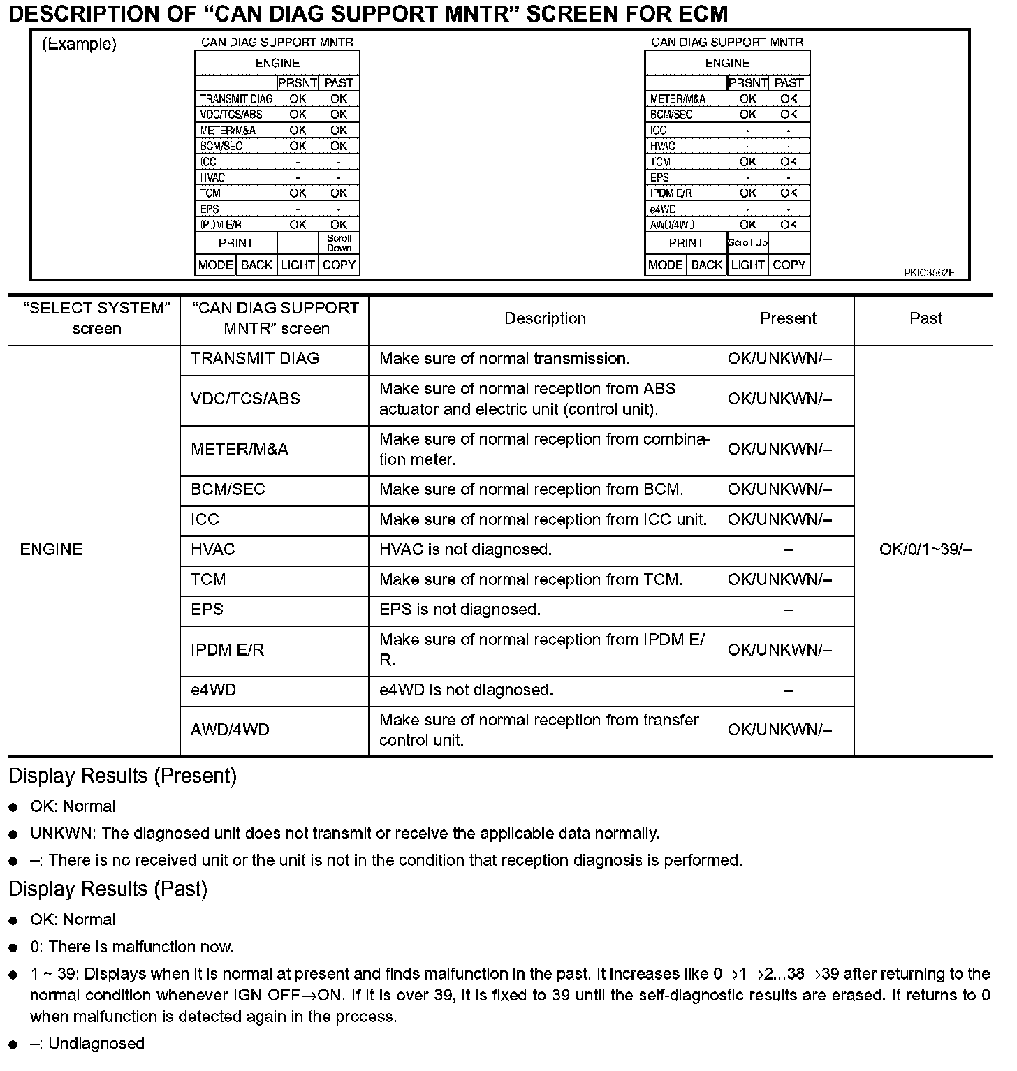
DESCRIPTION OF "CAN DIAG SUPPORT MNTR" SCREEN FOR ECM




DESCRIPTION OF "CAN DIAG SUPPORT MNTR" SCREEN FOR TCM




DESCRIPTION OF "CAN DIAG SUPPORT MNTR" SCREEN FOR ICC UNIT




DESCRIPTION OF "CAN DIAG SUPPORT MNTR" SCREEN FOR DRIVER SEAT CONTROL UNIT




DESCRIPTION OF "CAN DIAG SUPPORT MNTR" SCREEN FOR BCM




DESCRIPTION OF "CAN DIAG SUPPORT MNTR" SCREEN FOR FRONT AIR CONTROL




DESCRIPTION OF "CAN DIAG SUPPORT MNTR" SCREEN FOR TRANSFER CONTROL UNIT




DESCRIPTION OF "CAN DIAG SUPPORT MNTR" SCREEN FOR ABS ACTUATOR AND ELECTRIC UNIT (CONTROL UNIT)




DESCRIPTION OF "CAN DIAG SUPPORT MNTR" SCREEN FOR IPDM E/R




DESCRIPTION OF "CAN DIAG SUPPORT MNTR" SCREEN FOR DISPLAY CONTROL UNIT