Manuals through 2025 now available!
Our trusted friends have launched a new website named LEMON, which has newer manuals. It also contains all the CHARM manuals.
LEMON is the spiritual successor to CHARM, I recommend you try it!
Link:
lemon-manuals.la or
lemon-manuals.org.ua
(Some people have issue connecting. LEMON is investigating. For now, use Firefox or change your DNS server)
Or, hide this message:
temporarily or
permanently
CONSULT-III Functions (Intelligent Key)
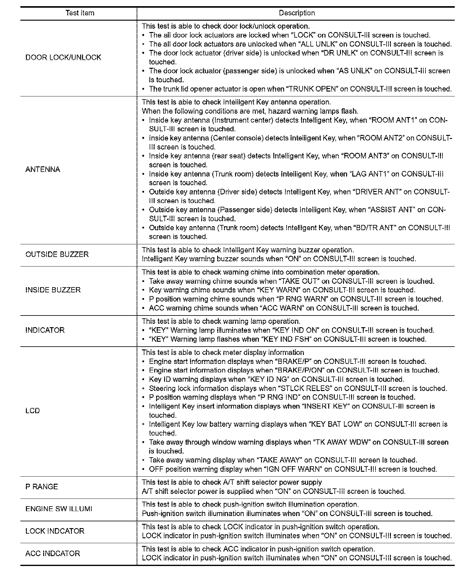
INTELLIGENT KEY SYSTEM/ENGINE START FUNCTIONCONSULT-III Functions (INTELLIGENT KEY) CONSULT-III can display each diagnostic item using the diagnostic test modes as shown below.
SELF-DIAGNOSTIC RESULTS DATA MONITOR WORK SUPPORT ACTIVE TEST