Operation CHARM: Car repair manuals for everyone.
Manuals through 2025 now available!

Our trusted friends have launched a new website named LEMON, which has newer manuals. It also contains all the CHARM manuals.

LEMON is the spiritual successor to CHARM, I recommend you try it!

Link: lemon-manuals.la or lemon-manuals.org.ua

(Some people have issue connecting. LEMON is investigating. For now, use Firefox or change your DNS server)

Or, hide this message: temporarily or permanently

Common Item





DIAGNOSIS SYSTEM (BCM)


COMMON ITEM : CONSULT-III Function (BCM - COMMON ITEM)


APPLICATION ITEM
CONSULT-III performs the following functions via CAN communication with BCM.






SYSTEM APPLICATION
BCM can perform the following functions for each system.

NOTE:
It can perform the diagnosis modes except the following for all sub system selection items.






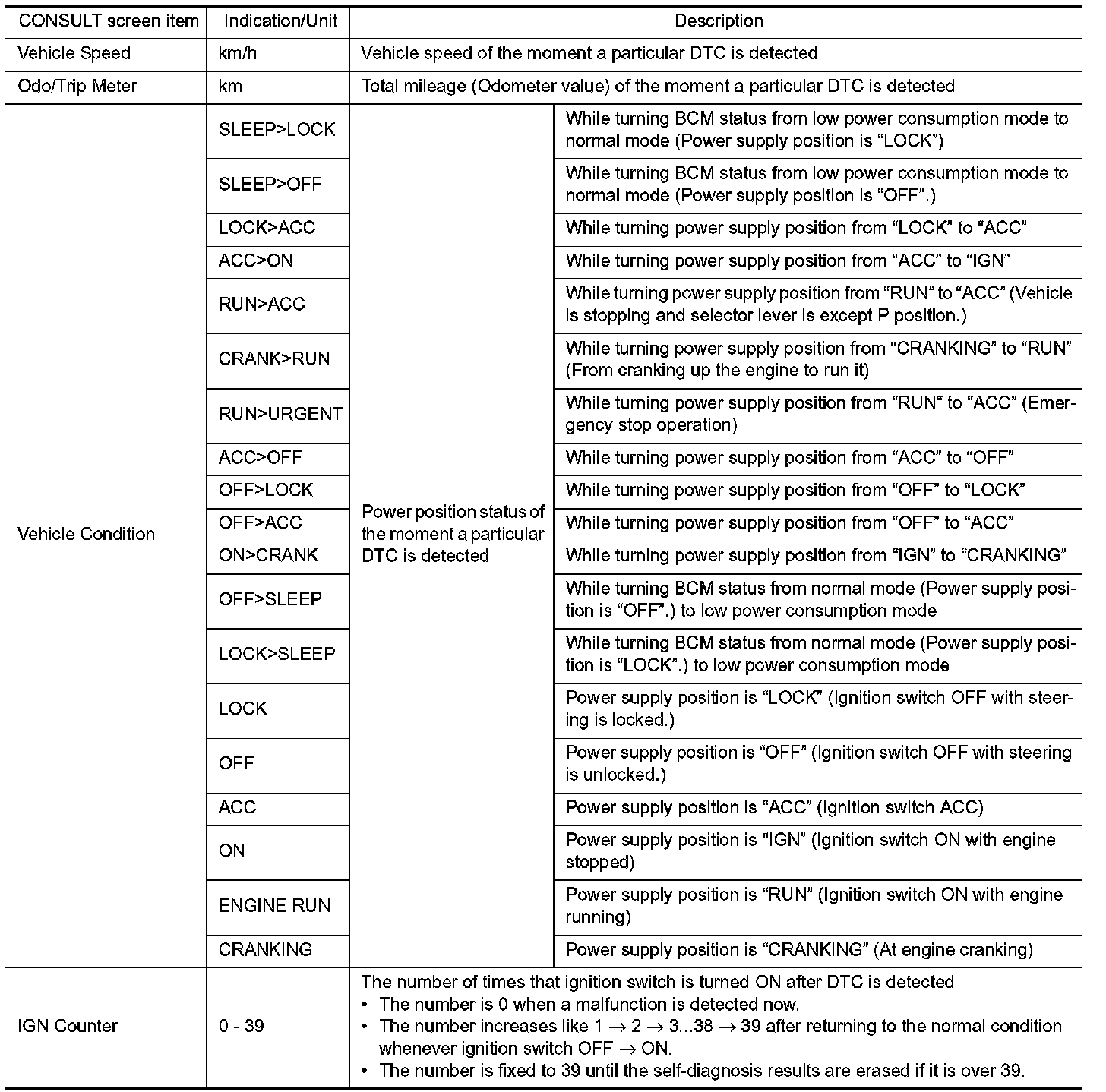
FREEZE FRAME DATA (FFD)
The BCM records the following vehicle condition at the time a particular DTC is detected, and displays on
CONSULT-III.