Operation CHARM: Car repair manuals for everyone.
Manuals through 2025 now available!

Our trusted friends have launched a new website named LEMON, which has newer manuals. It also contains all the CHARM manuals.

LEMON is the spiritual successor to CHARM, I recommend you try it!

Link: lemon-manuals.la or lemon-manuals.org.ua

(Some people have issue connecting. LEMON is investigating. For now, use Firefox or change your DNS server)

Or, hide this message: temporarily or permanently

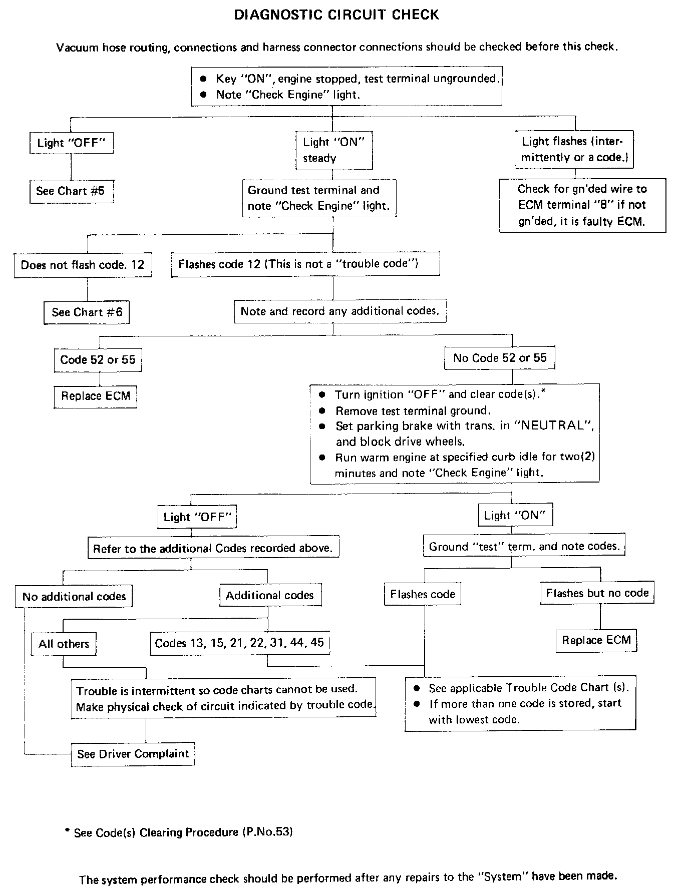
Diagnostic Circuit Check

Fig. E-2:






DIAGNOSTIC CIRCUIT CHECK
The Diagnostic Circuit Check (Fig. E-2) makes sure that the self-diagnostic system works, determines that the trouble codes will display and guides diagnosis to other problem areas.

With the engine running and if a problem develops in the system the "CHECK ENGINE" lamp will come "on" and a trouble code will be stored in the ECM "Trouble Code Memory". The lamp will remain on with engine running as long as there is a problem. If the problem is intermittent, the "CHECK ENGINE" lamp will go out but the trouble code will be stored in the ECM trouble code memory.

With the ignition turned "ON" and the engine stopped, the "CHECK ENGINE" lamp should be "ON". This is a bulb check to indicate that the lamp is working.

A trouble code "test" lead (white cable) and a ground lead (black cable) are branched from a harness at a distance of 200 mm (8 in.) from ECM connector.

With the ignition "ON", connect the "test" lead to the ground lead.

The "CHECK ENGINE" light will begin to flash a Trouble Code "12". Code 12 consists of one flash, a short pause, then two flashes. There will be a longer pause and Code 1 2 will repeat two more times. This check indicates that the self- diagnostic system is working. The cycle will then repeat itself until the engine is started or the ignition is turned "OFF". If more than one fault is stored in memory, the lowest number code will flash three times followed by the next highest code number, until all faults have been flahsed. The faults will then repeat in the same order. Remove ground from test terminal before starting engine.

A trouble code indicates a problem in a given circuit (i.e., trouble code 14 indicates a problem in the coolant sensor circuit. This includes the coolant sensor, connector, harness and Electronic Control Module (ECM). The procedure for finding the problem can be found in Diagnosis Trouble Code Chart 14. Charts are provided for each trouble code.

When the engine is started, the "CHECK ENGINE" light will go "OFF". If the "CHECK ENGINE" light remains ON, the self-diagnostic system has detected a fault.

If a trouble code can be obtained when the "CHECK ENGINE" light is OFF with the engine running, the trouble code must be evaluated. A determination must be made to see if the fault is intermittent or if the engine must be at certain operating conditions to turn the "CHECK ENGINE" light ON.

Faults indicated by trouble codes 1 3, 31, 44 and 45 require engine operation at part throttle for up to five minutes after engine warm-up before the "CHECK ENGINE" light will come on and store a trouble code.

The fault indicated by trouble code 15 takes five minutes of engine operation before it will display. The diagnostic charts for trouble codes 1 3, 1 5, 31, 44 and 45 should be used if any of these trouble codes can be obtained. Remove the ground from test terminal before starting engine.