Operation CHARM: Car repair manuals for everyone.
Manuals through 2025 now available!

Our trusted friends have launched a new website named LEMON, which has newer manuals. It also contains all the CHARM manuals.

LEMON is the spiritual successor to CHARM, I recommend you try it!

Link: lemon-manuals.la or lemon-manuals.org.ua

(Some people have issue connecting. LEMON is investigating. For now, use Firefox or change your DNS server)

Or, hide this message: temporarily or permanently

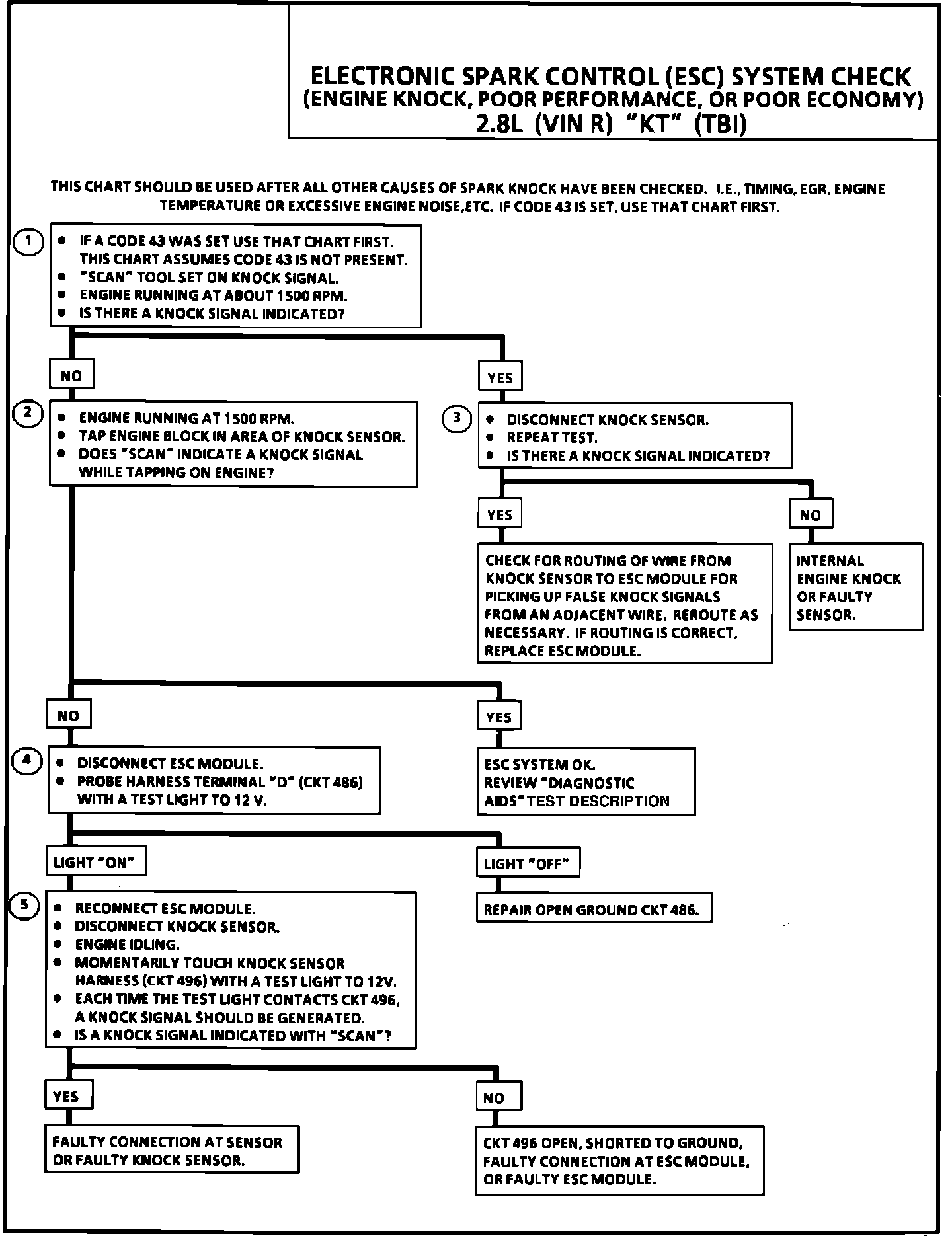
Knock Sensor: Testing and Inspection

The knock sensor is an integral component of the Electronic Spark Control (ESC) System. As such, it is tested as part of the ESC System. Also refer to Code 43.

DIAGNOSTIC CHART

ESC System Diagnostic Chart:







TEST DESCRIPTION

ESC System Test Description: