Operation CHARM: Car repair manuals for everyone.
Manuals through 2025 now available!

Our trusted friends have launched a new website named LEMON, which has newer manuals. It also contains all the CHARM manuals.

LEMON is the spiritual successor to CHARM, I recommend you try it!

Link: lemon-manuals.la or lemon-manuals.org.ua

(Some people have issue connecting. LEMON is investigating. For now, use Firefox or change your DNS server)

Or, hide this message: temporarily or permanently

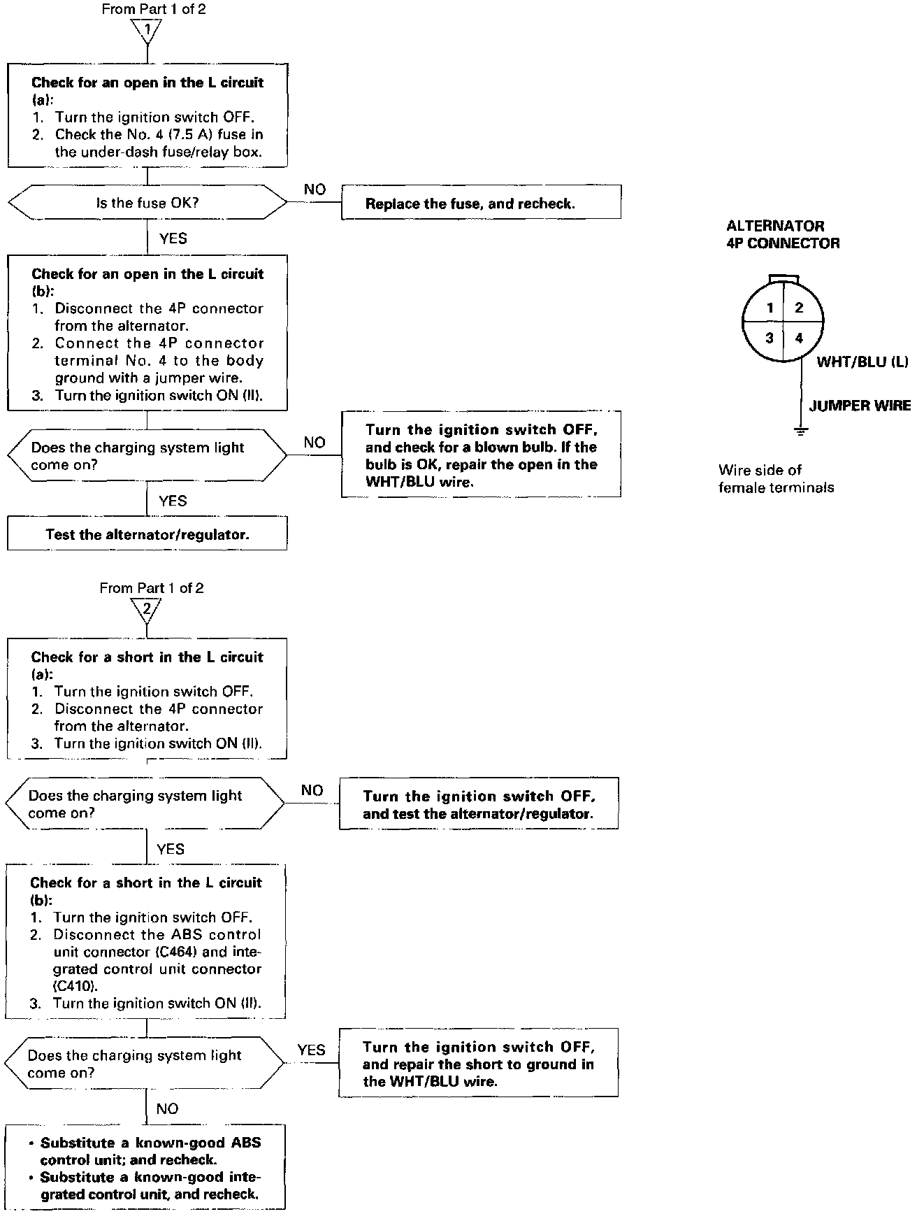
Charging System Light Test

Charging System-Troubleshooting Charging System Light Test (Part 1 Of 2):




Charging System-Troubleshooting Charging System Light Test (Part 2 Of 2):




If the charging system light does not come on or does not go off, or the battery is dead or low, test the following items in the order listed below:

1. Battery
2. Charging System Light
3. Voltage
4. Alternator control system
5. Alternator/Regulator