Operation CHARM: Car repair manuals for everyone.
Manuals through 2025 now available!

Our trusted friends have launched a new website named LEMON, which has newer manuals. It also contains all the CHARM manuals.

LEMON is the spiritual successor to CHARM, I recommend you try it!

Link: lemon-manuals.la or lemon-manuals.org.ua

(Some people have issue connecting. LEMON is investigating. For now, use Firefox or change your DNS server)

Or, hide this message: temporarily or permanently

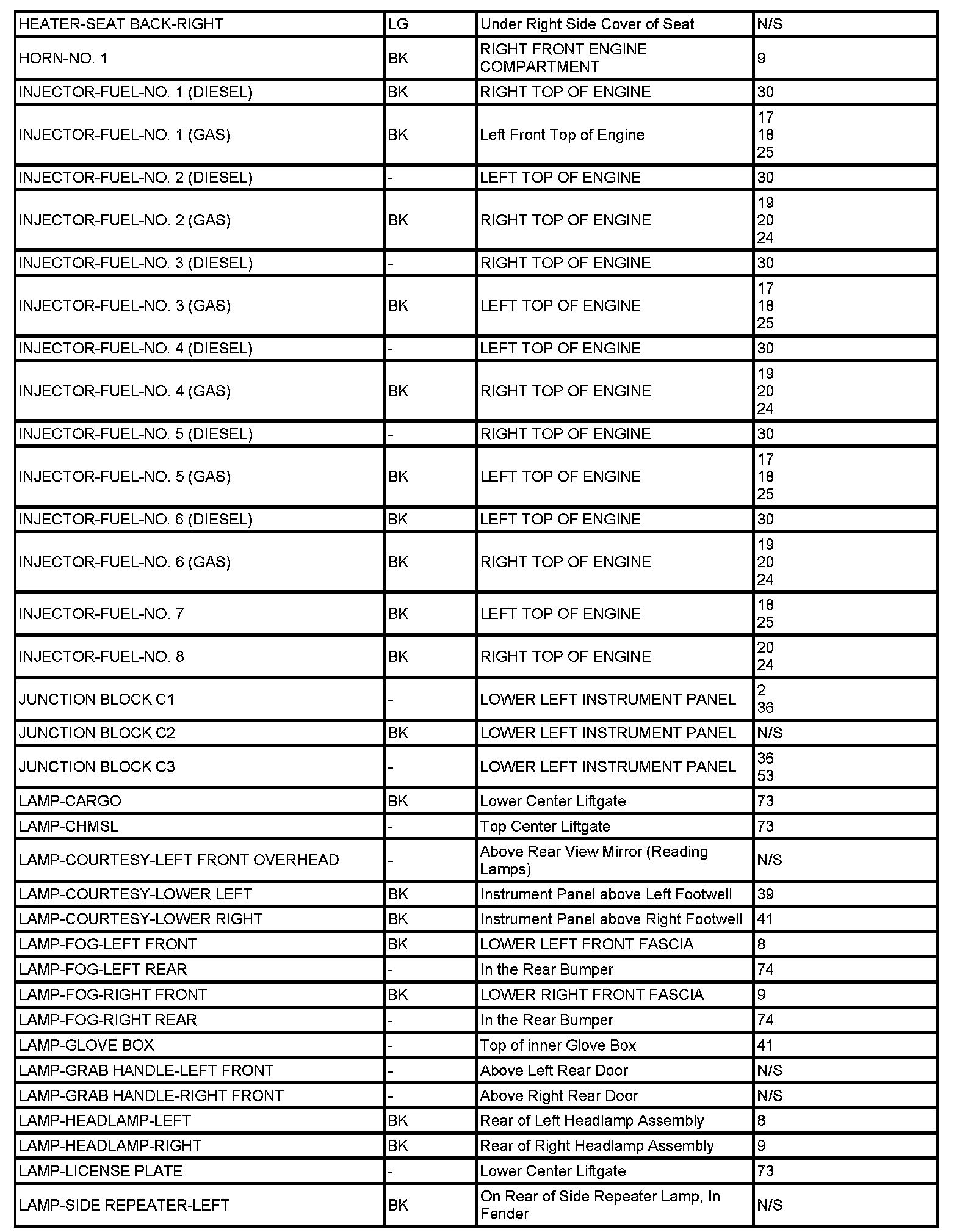
Connector Location Index

If a link on the index chart to a figure is not provided, that means that the connector and/or figure in question does NOT apply to the vehicle model selected.

The abbreviation T/O (Take Out) is used in the location column to indicate a point in which the wiring harness branches out to a component.

The abbreviation N/S means Not Shown in the illustrations.


Ac-C114:






C200-Cl:






Cl-He:






He-La:






La-Mo:






Mo-Mo:






Mo-Se:






Se-Se:






Se-So:






So-Th:






Tr-Wi: