Operation CHARM: Car repair manuals for everyone.
Manuals through 2025 now available!

Our trusted friends have launched a new website named LEMON, which has newer manuals. It also contains all the CHARM manuals.

LEMON is the spiritual successor to CHARM, I recommend you try it!

Link: lemon-manuals.la or lemon-manuals.org.ua

(Some people have issue connecting. LEMON is investigating. For now, use Firefox or change your DNS server)

Or, hide this message: temporarily or permanently

Engine Controls - Diagnostic Trouble Code Revisions

VOLUME
3

GROUP
General Information

NUMBER
009

MODEL
Amanti

DATE
March 2004

SUBJECT
Change of Diagnostic Trouble Code (DTC) System on Amanti

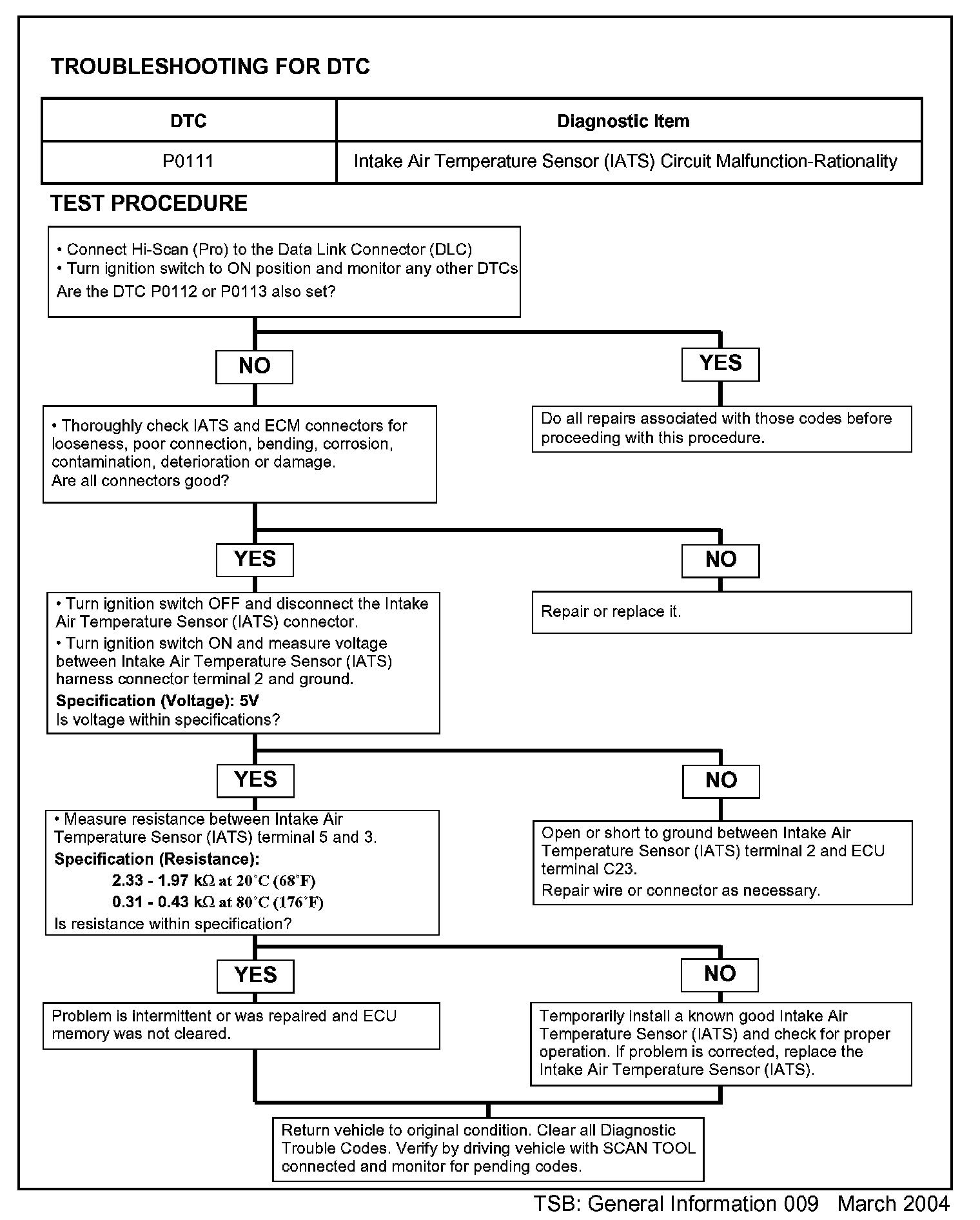
This bulletin provides information related to changes in the Diagnostic Trouble Codes (DTCs) shown in the 2OO4MYAmanti Service Manual PIN UHO4O P5010. Refer to the list of new DTCs when servicing 2OO4MYAmanti. Note: All information on this TSB has been corrected on KSIS.














ADD the three (3) DTCs to your 2004MY Amanti Service Manual. The Troubleshooting Charts are shown above.





DELETE the four (4) DTCs from your 2004MY Amanti Service Manual.





CHANGE the nine (9) DTCs in your 2994MYAmanti Service Manual.