Operation CHARM: Car repair manuals for everyone.
Manuals through 2025 now available!

Our trusted friends have launched a new website named LEMON, which has newer manuals. It also contains all the CHARM manuals.

LEMON is the spiritual successor to CHARM, I recommend you try it!

Link: lemon-manuals.la or lemon-manuals.org.ua

(Some people have issue connecting. LEMON is investigating. For now, use Firefox or change your DNS server)

Or, hide this message: temporarily or permanently

Automatic Transmission/Transaxle





SPECIFICATIONS





SERVICE SPECIFICATIONS














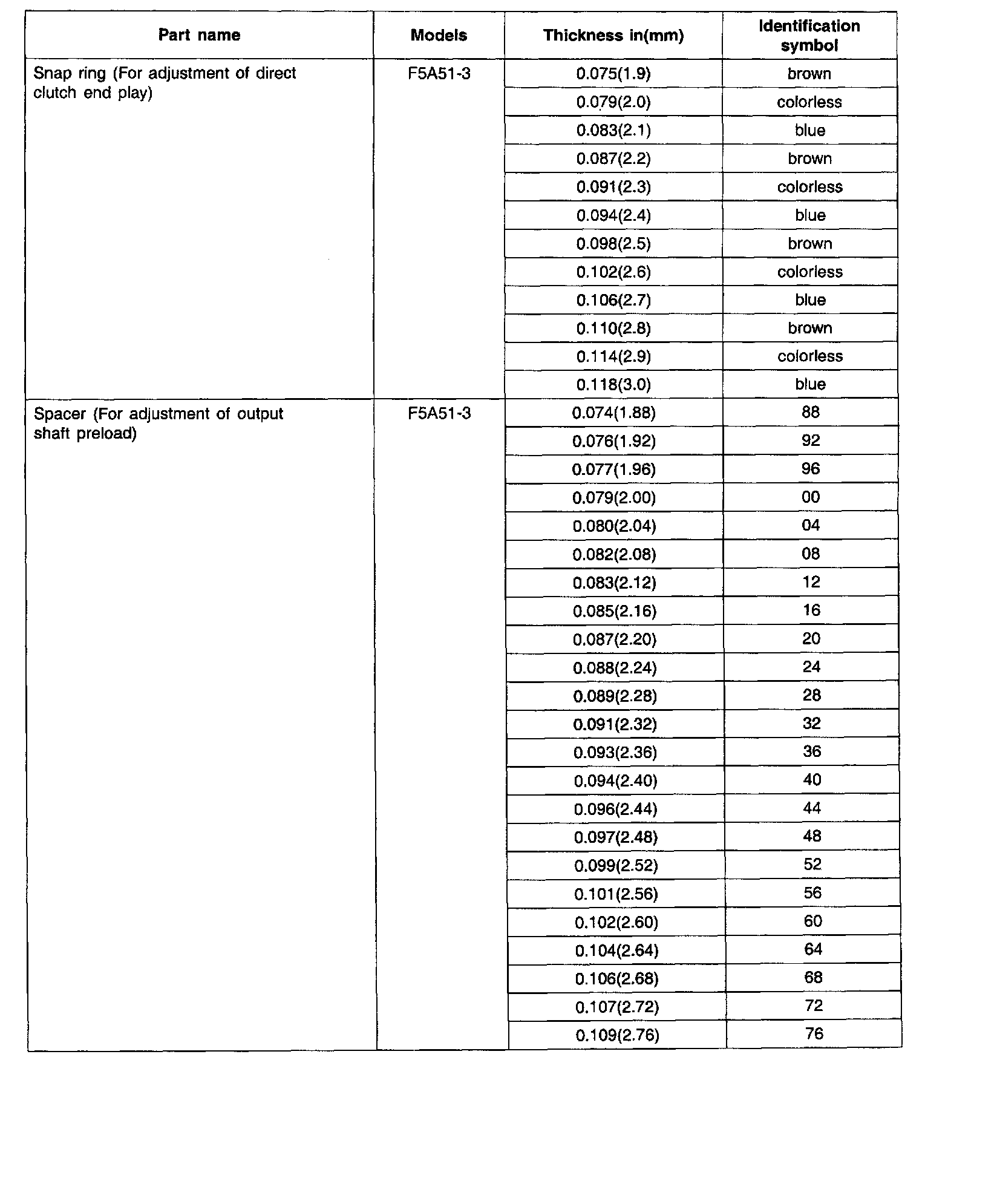
SNAP RING, SPACER, THRUST WASHER AND








TIGHTENING TORQUE

WARNING: ALWAYS FOLLOW TORQUE TIGHTENING LEVELS. FAILURE TO FOLLOW SUCH LEVELS CAN RESULT IN PARTS BREAKING IF OVER-TIGHTENED OR LOOSENING IF UNDER-TIGHTENED. IN EITHER CASE, SERIOUS PERSONAL INJURY OR DEATH COULD RESULT TO THE VEHICLE OCCUPANTS.