Operation CHARM: Car repair manuals for everyone.
Manuals through 2025 now available!

Our trusted friends have launched a new website named LEMON, which has newer manuals. It also contains all the CHARM manuals.

LEMON is the spiritual successor to CHARM, I recommend you try it!

Link: lemon-manuals.la or lemon-manuals.org.ua

(Some people have issue connecting. LEMON is investigating. For now, use Firefox or change your DNS server)

Or, hide this message: temporarily or permanently

Battery: Testing and Inspection

INSPECTION

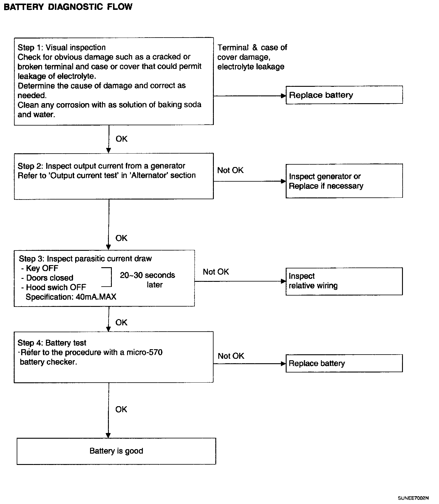
Battery Diagnostic Flow Inspection:




BATTERY DIAGNOSTIC FLOW

LOAD TEST
1. Perform the following steps to complete the load test procedure for maintenance free batteries.
2. Connect the load tester clamps to the terminals and proceed with the test as follow:
1. If the battery has been on charge, remove the surface charge by connect a 300 ampere load for 15 seconds.
2. Connect the voltmeter and apply the specified load.
3. Read the voltage after the load has been applied for 15 seconds.
4. Disconnect the load.




5. Compare the voltage reading with the minimum and replace the battery if battery test voltage is below that shown in the voltage table.

NOTE:
- If the voltage is greater shown in the table, the battery is good.
- If the voltage is less than shown in the table, replace the battery.